- 易迪拓培训,专注于微波、射频、天线设计工程师的培养
一种具有较大围长的正则LDPC码构造方法
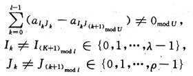
定理2 按照式(1)所示矩阵分裂方法构造的矩阵所对应的LDPC码不含长为4的环的充要条件有式(6)成立:

该定理的正确性从前面的描述中即可得知,这里不再赘述。
由定理2很容易得到下面推论:
推论1:按照式(1)所示矩阵分裂构造方法构造的矩阵所对应的LDPC码不含长为2l的环的充要条件为:

在编码设计时,可以首先确定所构造LDPC码设计围长,然后根据上面的定理和推论列出相应的不等约束,进而寻找满足这些不等约束的参数即可。
在进行参数选择时,可以根据上面分析和设计的围长列出各参数所对应满足的约束方程,然后寻找满足这些约束方程的参数取值。然而,由于这些约束方程均为不等约束,因而无法采用一般的方程组求解法;如果采用穷举的方法去遍历各个参数的所有可能组合,继而从中找出满足约束的一组,搜索的范围将有己U(λ-1)(ρ-1),这样即使U的取值范围很小(如102),总的搜索范围也将很大,因而无法实现。
为了实现参数的快速选取可以采用下述逐参试探算法:
(1)令ai,0=0(i=0,1,…,λ-1)及a0,j=0(j=1,2,…,ρ-1);
(2)随机在{0,1,…,U-1)中选取a1,1取值,然后判断a1,1是否满足给定的不等约束,若满足则确定取值,否则重新执行(2)
(3)按照(2)的方法一次确定剩余子矩阵的循环移位参数。
按照上面算法,每个参数至多需要U次试探,这样总共的试探次数至多为(λ-1)(ρ-1)U,远远小于整个搜索空间U(λ-1)(ρ-1)。
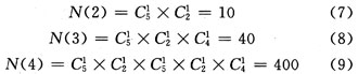
由于该算法采用逐个确定参数的方法,显然最后确定的参数受到的约束是最多的,定义N(l)为考虑消除Tanner图中长度为2l的环时最后一个参数受到的约束方程个数,则有:

由于各个约束方程均为不等约束,每个约束只能限制参数不能取某个特定的值,因此所有不等约束限制参数所不能取的值的个数至多为约束方程数目的两倍。考虑到所要构造的LDPC码的码长,U的取值一般在100左右,因此消除六环一般都可行。
3仿真及性能分析
取U=168,按照上面的方法构造长度为1 008的(3,6)正则LDPC码,通过计算机搜索检测发现,得到子方阵的循环参数为:
检测发现LDPC码的围长为10,为了保证所构造码的码率严格等于0.5,可以从生成的检验矩阵中删去2个"1"。该码在AWGN信道下的纠错性能如图5所示,图中的另外两条曲线分别为相同长度、随即构造、不消除4环的(3,6)正则LDPC码的性能曲线。其中,girth表示围长;ave表示所有变量节点的平均环长。
文献[8,9]采用PEG算法所构造的长度为1 008的(3,6)正则LDPC码的围长为8,平均环长为9.66,稍劣于上面构造的LDPC码,因此该方法用于正则LDPC码的构造时要优于其他的构造方法。
通过分析发现,采用该方法构造的正则LDPC码与文献[10]所述方法一样,其围长存在一个上限,下面进行详细介绍。考虑一个维素为2U×3U的矩阵,将其分裂成6个维素为U×U的子方阵,每个方阵均为单位阵或单位阵的行循环移位,则可以得到一个行重为3、列重为2的矩阵。不失一般性,令第一行子方阵均为单位阵,其余两个方阵的行右循环移位参数分别为a1,1和a1,2,则不论a1,1和a1,3如何取值,该矩阵始终存在如图6所示的12环。

将图6环上各个的非零元素依次编号,并令编号为1的元素坐标为(0,0,x,x),则环上各节点的坐标如图7所示。

因此,若采用上面的方法构造(λ,ρ)正则LDPC码,只要λ≥2,ρ≥2且λ+ρ≥5,相应的校验矩阵中也就必然包含图所示的字矩阵或其转置矩阵,于是得到的LDPC码的围长也就必然不可能超过12。
4结 语
给出了一种高围长的正则LDPC码的构造方法,具体分析了去环方法和循环移位参数的选取。用这种方法构造的LDPC码的H矩阵具有很好的结构。仿真表明,用该方法构造的码在AWGN信道下性能要优于随机构造的码。
上一篇:嵌入式-ARM寄存器基本概念
下一篇:2
kW有源功率因数校正电路设计


