- 易迪拓培训,专注于微波、射频、天线设计工程师的培养
采用DSP的谐波控制器的设计方案
2 谐波控制器的软件设计
软件设计的核心就是对信号中的谐波分量进行分析,DSP在两个信号周期采样128个点,基于这些采样点进行快速付里叶变换(FFT)运算,从而分析得到信号中谐波的含量。谐波分量的分析精度取决于FFT的精度和同步采样。当采样频率是信号频率的整数倍时,即实现同步采样,采用矩形截断,并用FFT算法进行频谱分析,不会产生任何泄漏现象,可以精确重现信号频谱。如果能自动达到同步采样,对算法本身的要求就不需要太高,因为,同步采样后采用矩形窗进行FFT,矩形窗就意味着采样的数据可以直接作为FFT子函数的输入。过零检测电路就是为了实现同步采样,DSP捕获方波电路产生的方波上升沿,可以求出方波频率即信号频率。根据此频率可确定采样时间和两点间的采样间隔时间(两次AD转换之间的时间),通过这个方法就叮以实现同步采样,获得精确的频谱。每次FFT运算前都会重新根据实际电网情况改变采样策略,在几个周期内对电网频率的变化迅速作出反应,这样提高测量的可靠性和实吋性。
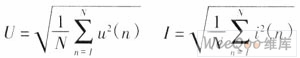
交流电压u(t)及电流信号i(t)每个周期进行N次采样,测得的离散值为u(n)、i(n),得到的离散化电压、电流有效值和有功功率计算公式为(N为采样点数)

根据P=UIcosθ可以求出功率因数,进而求得无功。根据FFT的结果可以得出各次谐波的含量,经计算可以得到总的谐波畸变率(THD),为DSP控制继电器投切滤波器提供了依据。
图5为DSP进行数据分析的流程图。

3 抗干扰设计
干扰主要有传导型和辐射型两大类,前者表现为干扰电流和电压,后者表现为干扰电场和磁场。影响智能脱扣器的干扰源有用电设备的浪涌电流;对讲机、手机等产生的射频辐射;智能脱扣器内部的开关电源和斩波释放电路等。这些干扰源的存在导致程序死掉,将干扰信号引入电流电压,从而使数据分析结果与实际差距较大,引起继电器误投切。为了减少千扰的影响,需要在硬件和软件上采取相应措施。
3.1 硬件抗干扰
采取的措施有:
1)合理布线,使数字电路地和模拟电路地共点接为悬浮工作方式,即系统各回路的基准电位互相连接在一起而不与大地相连,这样系统有较强的抗干扰能力;
2)模拟电路地和数字电路地分开接地,最后再汇合到一点;斩波泄放电路在启动工作后,出现很高的瞬态干扰,把逻辑地(主机)和模拟地(A/D)分开后,这种干扰就降到很低;
3)线路板和元器件表面喷绝缘层,这不仅是防潮和绝缘的需要,而且对防电磁千扰也有很重要的作用;在机壳内涂金属屏蔽层,形成等电位屏蔽,对电磁干扰也有很大的屏蔽作用;
4)在稳压电源、隔离变压器后侧安装滤波线路,这个滤波线路能使火线与零线中的千扰电流得到衰减;
5)弱电和强电之间常常需要隔离,常用的隔离方式有光电隔离、变压器隔离、继电器隔离等;本系统中采用光耦器件817对DSP输出的弱电控制信号与继电器强电进行隔离,由于光电隔离保证了DSP与继电器间无电的直接联系,从而保证了信号的正常传递,保证了DSP的安全。
3.2 软件抗干扰
软件上抗干扰的方法有以下几种:
1)为了防止装置收到干扰进入"死机"状态,在程序中加入一些监控措施 利用看门狗(watchdog)对程序进行死锁检测,在必要的时候自动复位;在未使用的中断向量区、空白程序区设置软件陷阱,强迫程序跑飞以后能够回到正常轨道上来;在必要的地方写入冗余指令,以调整指令长度,防止程序混乱;
2)对采样信号进行数字滤波 首先对每一个采样点进行判别,让其与相邻值、前次值以及增值最大值进行比较,根据对称检测法、限幅检测法来判断是否为干扰信号;对最近采样的点进行FFT计算得到的数据与前几次的数据求平均值,舍去"异类"。
此外,在数据处理的算法上进行改进,也能大大提高系统的抗干扰能力,但是,这往往是以牺牲代码长度为代价的,至于如何取舍视实际项目要求而定。
3.3 其他措施
在本系统中,DSP芯片除了进行数据采集和分析以外,还要实现对键盘和液晶显示的控制,这样DSP的工作量十分繁重,设计稍不全面就会出现中断冲突现象,为调试带来很大的困难。为此,可以采取在系统中添加一块单片机51芯片,用于管理键盘和液晶显示。现在单片机51芯片的价格十分便宜,系统中引入5l芯片不会导致成本过高。由于在正常运行时候,DSP和单片机通过双口RAM进行数据交流,其他内部的程序都不会相互干扰,因此,给调试带来了极大的方便,同时,最大可能地降低了程序跑飞的可能性。
4 结语
无源滤波器是抑制谐波的重要手段,它被广泛应用于电网的谐波抑制中,目前无源滤波器主要靠手工进行投切,这样既浪费人力,又达不到理想的效果,不能满足电能质量日益提高的要求。根据谁污染谁治理的原则,谐波污染也要由用户自己消除,因此,研制一种能对谐波进行监测控制的装置既方便了用户,又有广阔的市场前景。
来源:维库开发网

