- 易迪拓培训,专注于微波、射频、天线设计工程师的培养
基于MC33262构成的功率因数校正(AFPC)电路设计
3 电路主要参数的计算
3.1 电感L的计算
最低工作频率条件下所需的电感值可通过式(1)求得:
![]()
式中:Vin为稳压输人峰值电压最大值;Pin为输入功率最大值;fmin为开关频率最小值。将主要参数代入式(1)得:
L=544μH,在该设计中取L=550μH。
3.2 输入滤波电容的设计
输入滤波电容的主要作用是滤除输入端的高频噪音,其容量很小。但如果其取值太小,很难较好地滤除输入的高频噪音,另一方面其取值又不能太大,否则会引起较大的输入电压偏移。
3.2.1 输入滤波电容的下限值
输入滤波电容的下限值由输入滤波电容的最大纹波电压决定,可用式(2)计算:
![]()
式中:△Vcin(max)为滤波电容的最大纹波电压,一般情况下,该值可取小于最低输入电压峰值的5%。将主要参数代入式(2)得:

3.2.2 输入滤波电容的下限值
输入滤波电容的上限值由输入偏移因子IDF决定,可用下式计算:


输出电容的选择不但要考虑容值,还要考虑电压应力,由于电路的响应速度较慢,当负载突然变轻时,可能会引起输出电压的过冲现象,考虑到一定裕量,它的耐压可按大于输出过压保护点1.1VOVP来选取。在该电路设计中选择Co=220μF,耐压为450 V的电解电容。
3.4 功率开关管和输出二极管的选择
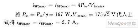
功率开关管与输出二极管的电流应力和电压应力都相同,下面分别计算两者的电流应力和电压应力。开关管和二极管的最大峰值电流:

开关管和输出二极管的电压应力需考虑输出过压保护点,因此其最大电压为:
![]()
在该电路设计中,选择功率场效应管IRF84.0作为开关管,其耐压为500 V,最大电流为8 A;选择快速恢复二极管MURl560作为输出二极管,其耐压为600 V,最大电流为15 A。
4 实验与结论
实验结果(见图4~图7)显示该AC/DC变换器在较宽广的输入电压范围下获得高度稳定的直流电压400 V输出;纹波峰一峰值在8 V以下;输出额定功率达150 W;满载下效率η=95%;功率因数λ≥0.99;输入电流总谐波畸变D<6%。目前,这种具有APFC电路的控制器已应用于电子镇流器产品中。


5 结 语
由MC33262构成的功率因数校正电路外围结构简单,电路元器件少,电路的体积和成本下降,提高了系统的可靠性。目前,这种APFC技术已经在开关电源、电子镇流器等诸多领域得到了应用。该APFC电路采用峰值电流控制方式,属于准连续电流模式,MOS-FET开关频率很高,这对EMI滤波电路的设计有较高的要求。不过该系列芯片与其他采用连续模式的APFC芯片相比有着较高的性价比,值得做进一步完善研究。
来源:维库开发网

