- 易迪拓培训,专注于微波、射频、天线设计工程师的培养
蓄电池 的均衡充电技术
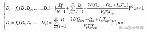
期望的储存容量Q n可以用下式来计算:
(3)
其中,I dis,n是一个开关周期中的平均电流,I o^,n是从其他被触发的旁路中获得的电流。Q tar是理想状态下电池经充电周期Ts达到均充时的电荷量,Q n是期望的储存容量,取Q tar=Q n,即(2)、(3)相等。通过相应换算,得到占空比 的计算公式:
(4)
这里的函数f N只是一个示意函数,表示D n和D 2...D 3存在一定关系。
3 实验设计
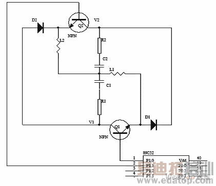
为了验证本文的均衡充电方法,以两节单体电池组成的蓄电池组为例进行实验和分析,主要验证旁路中开关管对电压的调节作用。控制流程见图4。

图4 控制流程
由于没有现成的蓄电池,需用替代电池来进行实验。充电过程中蓄电池内阻和端电压都在不断变化,并且充电过程中电池蓄积能量,根据对蓄电池的物理性质的分析和相关资料,采用"电阻串联电容"来替代单体蓄电池来进行实验。
本实验中,选用两个小功率NPN管C1815(Q1、Q2)来替代开关管,用89C51芯片的P1.0和P1.1脚控制Q1、Q2的开关。同时,蓄 电池的端电压V1和V2由差动放大电路采集,经A/D转换送到CPU。在整个过程中,电压每20ms采样一次,每隔1s上传上位机并保存并自动绘制曲线。 图5为试验电路图。

图5 实验电路原理图
图6为根据采样数值绘制的曲线。

图6 充电过程中蓄电池端电压曲线
实验结果与分析
通过实验结果可以看出,充电开始时电压相差为1.98V ,在经过充电140s后,电压相差值约为0.2V;在均充过程中,电池电压有趋向一致的趋势。均充方法能根据单体电池的差异,缩短蓄电池组之间的不一致性,使蓄电池组的整体性能得到提高,寿命延长。
同时,从实验结果来看,该方法也有效果不理想的地方,那就是两节电池端电压差值较大。究其原因,一是本实验中用"电阻串联电容"来替代蓄电池,这和 真实的蓄电池存在差别,无法达到理想的模拟状态;二是本实验主要是检验开关管的开关对电压的均衡影响,在很多环节上进行了简化处理,忽略了一些次要因素, 而这些因素也对实验结果有一定的影响。
但总的来说,本实验达到了预定的目的,证明了无损均充法的可行性。
上一篇:UPS维护使用时的几点注意事项
下一篇:如何选择ESD保护元件


