- 易迪拓培训,专注于微波、射频、天线设计工程师的培养
参量换能器的原理及电路设计
该选频网络的频率特性为:

根据以上各关系式以及电路的起振条件,可以确定放大电路反馈回路中R1和R2,R3的比值。
3.2 功率放大电路设计
功率放大电路采用PA141作为放大器,构成类似桥式的驱动电路,来驱动压电陶瓷换能器。具体电路如图4所示。
PAl41是"APEX"公司推出的8脚高压单片集成的MOSFET运算放大器,它具有工作电压高(350 V)、静态电流小、输出电流大(峰值120 mA)等优点。PAl41内部的输入保护电路避免了过高的共模、差模电压及静电泄放的影响,其安全工作区无二次击穿限制,因此只要选择合适的限流电阻就可 驱动不同的负载,并可通过PAl41的外部可调补偿电路来选择合适的带宽和增益。使用该放大器不仅简化了电路设计,而且可提高系统的可靠性。
在图4中,运放A1,A2构成双重补给的桥式电路,其中A1的增益为20 dB,A2的输出与A1反相,从而构成差动式放大电路。若输入正弦信号的电压幅值为15 V,则施加在换能器两端的驱动电压的变化范围为±300 V。由于PAl41的输出电流较低,为了得到较高的输出功率,电路中接人两个功率MOS管,以提升输出电流,从而得到较高的输出功率来驱动换能器。
4 接收电路的设计
参量换能器的回波接收电路由前置放大电路、带通滤波电路和末级放大电路组成,如图5所示。

4.1 前置放大电路
前置放大电路采用具有低功耗、宽频带、高精度和高可靠性等优点的AD620仪用放大器,它是一种电阻可编程的放大器,其内部是由三运放组成的仪表放大器结 构,内部的电阻经激光技术校准,整个放大器具有很高的精度和共模抑制比。AD620的增益是由电阻RG决定的,使用1%的精密电阻,它就能提供精确的增益 G。该放大器只需要改变一个管脚1,8之间的电阻值,就可以在1~1 000之间调整增益,其增益公式为:
![]()
可根据实验需要,选择合适的RG来确定电路的增益。
4.2 带通滤波放大电路
带通滤波器是用高阻抗运算放大器(TL082)和RC阻容元件构成的放大器和有源带通滤波器。
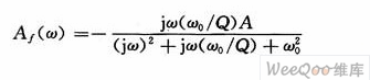
二阶有源带通滤波器的传递函数为:

式中,ω0为带通滤波器的中心角频率,ω0=2πf0,(f0=8 kHz);Q为品质因素;A为滤波器的增益。若BW为带宽,则有Q=f0/BW,滤波器的参数满足如下关系:

当所需带宽为BW=4 kHz,增益A=5,C1=C2时,则将已知数值代入上式,计算得:若C1=C2=681 pF,则R1=11.7 kΩ,R2=19.5 kΩ,Rf=117 kΩ。
末级放大电路是由普通的反向运算放大器和电阻元件构成。通过调节电位器来改变放大器的增益,使接收电路的输出幅值满足数据采集电路板NI6024的输入要求。
5 供电电源设计
在设计的参量阵收发电路中需要土175 V,±15 V,±5 V等电源。对于高压电源的设计,实验中采用推挽式稳压电源功率转换电路,具体电路如图6所示。

高压电源设计中,由NE555组成的电路提供脉冲信号,SN75372集成芯片是双通道与非门TTL/MOS专用接口电路,其中管脚2是两个与非门公用的 使能输入端(高电平有效),管脚1/7和管脚3/6分别是两个与非门的输入/输出端;管脚4是数字地;管脚8接5 V直流电源,管脚5接15 V直流电源。利用该接口电路,就可以直接用TTL电平来驱动MOSFET功率管。R4与R5构成分压电路,用来确定MOSFET功率管IRF520的栅源 电压VGS,进而控制功率管导通时的漏极电流ID;RS是限流电阻,用于限制漏级电流ID的大小,它可以使功率管导通时的最大漏级电流IM基本恒定,避免 功率管导通瞬间过大的电流冲击。该电路通过变压器输出后,将桥式整流电路变压器副边中点接地,再接上滤波电容,并且两个电容的中点接地,可以得到较高的 正、负直流输出电压,满足实验中高压电源的需求。
另外,对于±15 V和±5 V电源,可以利用已有的24 V稳压电源,通过三端稳压集成电路模块78和79系列得到所需要的直流电压。
6 结 语
以上介绍了参量换能器的工作原理和收发电路的设计。对于实现参量阵差频信号的发射与接收,实际工作中还有两个需要注意的问题:
(1)实现声学参量阵,要求原波信号有较高的声源级,尤其在空气中由于非线性效应较弱,对声源级的要求也更高,这也增大发射器的功率。
(2)参量换能器的转换效率较低,一般很难超过1%。如何提高参量换能器的效率,仍是一个值得探索的研究课题。
下一步工作是在实验室中实现参量阵超声波的发射和声波的接收,并且在空气中和水下验证参量阵的性能指标,其中还要注意换能器在空气和水下的阻抗率匹配问题。
来源:电子发烧友网
上一篇:如何选择ESD保护元件
下一篇:UPS电源系统雷电防护措施


