- 易迪拓培训,专注于微波、射频、天线设计工程师的培养
基于OB2354L的机顶盒开关电源设计
确定开关电源的基本参数
输入电压90Vac~264Vac;电网频率fL:50Hz;开关频率f:50KHz;最大占空比Dmax=0.45;输出:3.3V/1A;6.7V/0.5A;12V/0.1A;总输出功率PO:8W;电源效率 :75%;
确定输入电容CIN以及输入直流电压最小值UImin
对于宽范围输入电压,输入电容选取为2~3μF/W,这里输出功率PO为8W,故输入电容C919、C906分别取10μF/400V;UImin=90×1.414-30=100Vdc;
确定初级波形参数

选择磁芯与骨架参数
可选用EE25型磁芯。有效磁芯截面积Ae约为51mm2,骨架宽度15mm。
确定初级匝数Np,次级匝数
由公式
可得次级反射到初级电压VRO为82V;由
,Bsat为饱和磁通密度,这里取0.3T,得初级最少匝数为NP为62匝;由
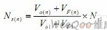
,其中Vs1为次级基准输出绕组匝数,取4匝,V01为输出电压3.3V,VF1是基准输出电路二极管正向压降,采用肖特基二极管SR240,压降为0.6V,计算得到Np为82匝,大于前面得到的最少匝数62匝,符合要求。其他第n路次级输出匝数由公式
确定,可以得到6.8V输出绕组匝数为8匝,12V输出绕组匝数为13匝,芯片供电绕组匝数为14匝。
实际确定的变压器参数
为减少漏感,变压器采用三明治绕法;导线电流密度取4~6A/mm?;根据实际实验调试,最后选择的变压器初级电感量为2mH,线径、匝数以及绕制方式如图3所示,其中E1、E2为屏蔽层,可以改善电源EMI性能。

电源性能测试
电压调整率
对不同的交流电压输入,电源满载的情况下,测试的输出电压值见表1。
负载调整率
在分别用90V和220V交流输入的情况下,对于不同的输出负载,测试的输出电压值见表2和表3。
结语
本文介绍了一种用OB2354L设计的三路输出机顶盒开关电源,并给出了详细的变压器参数,最后给出了测试结果。从测试结果可以看出,测试出来的电源无论电压调整率还是负载调整率,都能够满足实际使用要求,该方案电源板已经用在国内有线电视机顶盒上。
来源:维库开发网
上一篇:滞环比较器在电源中的应用
下一篇:UPS故障原因详细分析


