- 易迪拓培训,专注于微波、射频、天线设计工程师的培养
电力直流系统中高频开关电源磁性元件的优化设计
录入:edatop.com 点击:
由(9)式可求得气隙长度
(1)窗口利用率的计算
滤波电感通过的最大平均电流为50A,按照电流密度KJ为2.5A/mm2设计,绕组截面积A,=20mm2;窗口面积AW=19.5cm2。
窗口利用率

3 饱和电感的设计
1)磁芯的选择
选用钴基非晶环形铁芯,该磁芯的饱和磁感应强度Bs=0.53T,剩余磁感应强度Br=0.5T,居里温度210℃,磁导率μ=90000。外形尺寸:外径42mm,内径29mm,厚l8mm。磁芯有效截面积Ac=0.82cm2。
2)延迟开通时间的选择根据ZCS的要求选择0.5μs
3)匝数的计算
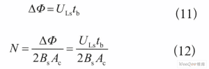
根据

式中N为匝数,tb为延迟开通时间,Bs为磁芯的饱和磁密,Ac为磁芯的有效截面积,ULS为加在饱和电感上的电压,约等于Udc。算得N=3
4)窗口利用率的计算
饱和电感通过的最大平均电流为50A,按照电流密度KJ为2.5A/mm2设计,绕组截面积Ar=20mm2;窗口面积AW=6.6cm2。
窗口利用率

4 结束语
通过对高频电源模块的主要磁性元件的优化设计,并应用在高频电源的生产中,很好的解决了磁性元件的损耗和发热的问题,对高频电源的稳定性有了进一步的提高。
上一篇:IP视频系统的视频质量客观测试
下一篇:屏蔽布线系统的优势


