- 易迪拓培训,专注于微波、射频、天线设计工程师的培养
一种用于PFC的模拟乘法器设计
随着家庭用电设备越来越多,大量的电流谐波分量倒流入电网,造成电网的谐波"污染"。为了抑制这些电流谐波分量,采用功率因素校正技术(PFC)。目前对功率因素校正技术的研究取得了许多成果,其中,在拓扑结构方面,Boost型PFC技术已经完善,在控制方面,以电流环、电压环的双环控制比较成熟。模拟乘法器的设计是实现输入电流跟随输入电压重要的一部分,通过对乘法器的输出与电感电流的峰值比较,在变频控制下,控制功率开关管的打开,使开启时间固定为一个常数,功率因素理论上为单位值。
1 变频控制的基本原理
为了得到理论上等于1的功率因素,Boost型PFC通常采用变频控制法。在Boost拓扑电路中,电感电流等于输入电流。在变频控制下,电感电流(即输入电流)的平均值为:
![]()
从式(1)可以看到,如果功率管开启时间TON始终是一个同定值,电感电流的平均值与输入电压VI成正比,功率因素在理论上将为1,这就是变频控制的基本原理。由于电感始终处在临界导电模式,所以义称临界导电控制法。
2 乘法器在变频控制中的作用
为了在Boost型电路中实现功率管开启时间为定值,引进了模拟乘法器。在PFC工作在稳定状态时,模拟乘法器的输出电压VMULT与电感电流检测电阻Rs上的电压VRs比较,当VMULT小于VRs时,功率管关断,因而开启时间固定。乘法器的输出电压为:

式中,k是一个常数值,Vc在稳定工作状态下也近乎常数值。

很明显,开启时间和输入电压无关,只和常系数k、电感L和检测电阻Rs有关。
3 乘法器
3.1 乘法器的基本原理
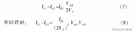
根据图1所示的乘法器的基本结构,VQ3和VQ4组成一个共射差分对,电流源Iss提供差分对电流偏置,VQ5、VQ6作为差分对的有源负载。VQ3和VQ4是完全相同的三极管,Vid2>0,根据推导,


VQ3和VQ4的集电极电流差通过VQ7、VQ8和VQ9组成的镜像电流源镜像到VQ1和VQ2的共射极端,给VQ1和VQ2提供偏置电流,因此,
![]()
同样,完全相同的VQ1和VQ2也组成一个共射差分对,IEE为这两个管子提供偏置电流。Vid1>0,可得:

当(Ic1-Ic2)这个电流差流过1只取样电阻,2个输入电压的乘积结果就是1个电压值。
来源:维库开发网
上一篇:电力系统中的谐波问题分析
下一篇:基于FPGA的三相函数信号发生器设计


