- 易迪拓培训,专注于微波、射频、天线设计工程师的培养
高频软开关静止变流器并联研究
1 引 言
国外航空静止变流器目前已经系列化,单相静止变流器从50VA~6KVA有20个功率等级,三相静止变流器从150VA~12KVA有11个功率等级,其中基本模块有6个,最大功率为1kVA,功率密度为6.1kg/kVA。许多功率等级的产品,尤其是大于1kVA的产品多采用由几个基本模块构成的模块方案。目前国内的航空静止变流器仅有三个品种,最大功率为1kVA,大于1kVA的仍然使用旋转变流器,且不能并联工作,与先进国家差距较大。
航空静止变流器的模块化及系列化设计可以有效地提高系统的通用型、可靠性、可维护性及可扩展性。采用多个电源模块并联组合成大功率电源是实现电源高可靠性的关键,本文在成功研制1kVA高频软开关航空静止变流器模块的基础上,进一步研究了由多个单相模块组合成大功率航空静止变流器的方案。实验表明,采用模块并联方案具有简单可靠、效率高、体积小等优点,对提高航空静止变流器的可靠性、可维护性和通用性具有重要意义。
2 系统构成及工作原理
3kVA高频软开关航空静止变流器采用3台1kVA 27VDC/115V 400Hz单相DC/AC航空静止变流器模块并联构成(见图1)。3台航空静止变流器模块均为电压、电流双环控制,通过公用电压调节器稳定并联系统的输出电压及频率,同时产生统一的模块电流给定信号,各并联模块工作于电流跟踪壮态,从而实现各航空静止变流器模块的均流并联。该方案简单可靠,模块间仅有一条电流给定线连接,不需要输出隔离变压器以及复杂的均流控制电路,因此体积小、重量轻。

图1系统构成及工作原理框图
2.1 1kVA单相软开关航空静止变流器模块的构成及工作原理
1kVA 27VDC/115V 400 Hz AC航空静止变流器模块由DC/DC变换、DC/AC逆变、吸收电路、控制保护电路及机内电源等组成(见图2)。DC/DC变换部分采用两路交错并联有源箝位软开关正激变换器输出100kHz、占空比可变的周期过零的脉冲波。DC/AC逆变采用V6~V9组成桥式逆变器,经离散脉冲滞环控制(DPM),在直流母线电压Ub过零时进行开关切换,实现了开关管的零电压开关。逆变桥输出调制电压,经滤波电感Lf、电容Cf滤波后,得到115V/400Hz的单相交流电输出。

图2 单逆变模块主电路拓扑图
控制电路采用电压外环+电流内环的双环控制方案,该方案可以在保证系统稳定性的同时自动达到限制电流的目的。经过分析发现,传统双环控制两态调制方案,电感电流变化较大,逆变桥开关损耗大。为此,引入三态控制方式,即在电感电流与电流给定误差小于滞环上限且大于滞环下限时,开通V7、V9使电感处于自然续流状态,只有当误差大于滞环上、下限时才进入两态调制,这样就可以有效地减少开关管的切换次数(每周期69~71次),提高了变换器的效率,同时减小了输出能量的回馈。
该静止变流器模块的DC/DC电路采用有源箝位技术,DC/AC采用零电压开关技术,效率较高(额定阻性负载时为83.1%,其中DC/DC为89.2%,DC/AC为93.2%,THD为0.894%,功率密度为5.3kg/kVA)。
2.2 3kVA单相航空静止变流器的构成及工作原理
3kVA单相航空静止变流器由3块1kVA逆变模块并联构成(见图3)。并联控制电路采用公用电压外环方案,即由一个公用电压调节器作为外环用来调节航空静止变流器的输出电压,它的输出信号ig为各模块的电流内环的给定输入信号,由于电流内环可以等效为一比例放大环节,等效放大倍数为电流环反馈系数的倒数。因此,当各模块的电流内环反馈系数Kin相等时,各模块的滤波电感电流相等,从而实现了并联航空静止变流器模块的均流。

图3共用电压调节器航空静止变流器并联系统框图
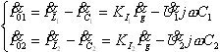
2.3 并联系统的环流分析
图4为两台航空静止变流器模块并联系统的输出等效电路,r1,r2分别表示航空静止变流器的输出连线的阻抗L1,C1和L2,,C2分别为航空静止变流器输出滤波电感和电容,RL为负载电阻。由图可知,存在以下关系式
(1)

图4 公用电压调节器输出等效电路
来源:电源世界
上一篇:磁珠及其在开关电源中的应用
下一篇:双向开关前置的单相升压APFC变换器建模和仿真


