- 易迪拓培训,专注于微波、射频、天线设计工程师的培养
电流模式RLC梯形滤波器的设计与改进
录入:edatop.com 点击:
0 引言
在模拟电路中,人们一般习惯于采用电压作为信号变量,并通过处理电压信号来决定电路的功能,这种方式也同时促进了电压模式电路的诞生和发展。近年来,以电流为信号变量的电路在信号处理中的巨大潜在优势逐渐被认识并被挖掘出来,同时也促进了电流模式电路的发展。电流模式电路在速度、带宽、动态范围等方面获得更加优良的性能,将把现代集成电路推进到一个新的阶段。
RLC无源滤波器在分立元件滤波器中占有重要地位,其理论成熟,而且有大量的图表可以用,尤其是跳蛙结构,它不仅具有通带灵敏度低的优点,而且对寄生电容不敏感。电流差分缓冲放大器非常适合电流模式以及连续时间滤波器的设计,因此,本文提出了电流模式下基于CD-BA的梯形结构的滤波器设计及其改进方案。
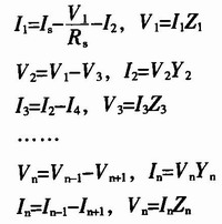
1 梯形滤波器设计
无源RLC梯形滤波器的普遍结构如图1所示。其中串联臂支路用导纳Y表示,并联臂支路用阻抗Z表示。该网络的电流和电压方程如下:

根据图1所示的网络结构,电流模式的五阶切比雪夫梯形滤波器的设计电路及其仿真图如图2所示。


作者:康 怡 霍聪颖 来源:国外电子元器件


