- 易迪拓培训,专注于微波、射频、天线设计工程师的培养
一种新型感应加热电源双机并联拓扑的研究
现代感应加热电源正朝着大功率,高频化方向发展。这对现代电力电子器件来说是一个相当大的挑战。传统的方法是采用器件串并联的方式,但这存在器件之间均流均压闲难的问题,特别是当器件串并联很多时,则需要保证精确的同步信号,以避免器件之间的环流损坏电力电子器件。但在很多情况下这很难精确保证。特别是当串并联器件较多功率等级很大吋,信号线上延时将对器件之间的环流产生恶劣的影响,所以采用器件申并联的方式时,器件数量、最大功率都将受到限制。基于此,一种新型的LLC拓扑被提出,它的优良特性可有效地减少逆变桥并联之间的环流,通过参数设计可以均衡各桥的功率分配,降低器件的损耗,从而有效地解决了逆变桥并联中出现的一些问题,有利于感应加热电源多桥并联,提高输出功率和可靠性。

l 单机LLC分析
电压型LLC负载拓扑如图1所示。由图1可知,不同之处是在以往LC并联负载基础上再串联一个电感L1,L2和R为感应圈的等效电路,通常L1比L2大很多,L1参与谐振并起到隔离负载和电源,调节功率分配的作用。可见它与传统感应加热电源中的负载匹配变压器作用很相似,因而可以消除造价昂贵,效率不高的高频变压器,使得整个装置的体积缩小、重量减轻。LLC谐振电路阻抗表达式为
![]()
由基本的电路分析可得它有两个谐振频率, 一个是并联谐振频率f0和一个串联谐振频率f1

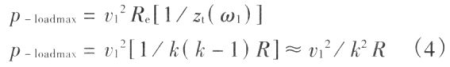
式中:Leq=L1//L2。
定义k=L1/L2,一般来说k值较大以满足负载匹配的要求,因此f0与f1很接近。为了获得较大功率以及控制系统设计方便,系统的理想工作点在f1。Q=L2ωo/R≈L2ω1/R为了负载的品质因数{Q》]),将k》1,Q代入式(1),则在谐振点有

由式(3)可知在ω1、点电源工仵在感性状态以保证开关管可靠换流,且电容上电压滞后逆变器输出电压90°。可以证明在ω1点为输出功率最大值。

由式(4)可看出电感L1起到阻抗变换,功率调节作用。系统功率曲线以及阻抗特性曲线如图2所示。

从图2中可以看出φ(ω)在整个频域内是非单调函数,这种特性不利于用锁相环控制.相反θ(ω)=arg(vc/v1)却呈单调变化特性,且在ω1点有θ(ω1)≈—90°,所以.θ(ω)可作为控制变量引入到PLL中,从而锁定在階振点。电容上电压最大值出现在谐振点ω1。 vc ≈v1Q/k (5)
2 感应加热并联模块环流分析
LLC谐振负载最大的优点是有利于感应加热中的多机并联,它小需要在逆变器之间附加任何元件,即使各桥的信弓延时角度很大也能保证系统止常工作,抑制各桥之间的环流,调节各逆变器的输出功率,多机并联图如图3所示。

来源:21IC电子网
上一篇:开关电容滤波器的系统设计与实现
下一篇:视频监控技术的智能化趋势


