- 易迪拓培训,专注于微波、射频、天线设计工程师的培养
IGBT高压大功率驱动和保护电路的应用及原理
从图1可以看出,HCPL-316J可分为输入IC(左边)和输出IC(右边)二部分,输入和输出之间完全能满足高压大功率IGBT驱动的要求。
各引脚功能如下:
脚1(VIN+)正向信号输入;
脚2(VIN-)反向信号输入;
脚3(VCG1)接输入电源;
脚4(GND)输入端的地;
脚5(RESERT)芯片复位输入端;
脚6(FAULT) 故障输出,当发生故障(输出正向电压欠压或IGBT短路)时,通过光耦输出故障信号;
脚7(VLED1+)光耦测试引脚,悬挂;
脚8(VLED1-)接地;
脚9,脚10(VEE)给IGBT提供反向偏置电压;
脚11(VOUT)输出驱动信号以驱动IGBT;
脚12(VC)三级达林顿管集电极电源;
脚13(VCC2)驱动电压源;
脚14(DESAT) IGBT短路电流检测;
脚15(VLED2+)光耦测试引脚,悬挂;
脚16(VE)输出基准地。
其工作原理如图1所示。若VIN+正常输入,脚14没有过流信号,且VCC2-VE=12v即输出正向驱动电压正常,驱动信号输出高电平,故障信号和欠压信号输出低电平。首先3路信号共同输入到JP3,D点低电平,B点也为低电平,50×DMOS处于关断状态。此时JP1的输入的4个状态从上至下依次为低、高、低、低,A点高电平,驱动三级达林顿管导通,IGBT也随之开通。
若IGBT出现过流信号(脚14检测到IGBT集电极上电压=7V),而输入驱动信号继续加在脚1,欠压信号为低电平,B点输出低电平,三级达林顿管被关断,1×DMOS导通,IGBT栅射集之间的电压慢慢放掉,实现慢降栅压。当VOUT=2V时,即VOUT输出低电平,C点变为低电平,B点为高电平,50×DMOS导通,IGBT栅射集迅速放电。故障线上信号通过光耦,再经过RS触发器,Q输出高电平,使输入光耦被封锁。同理可以分析只欠压的情况和即欠压又过流的情况。
3.2驱动电路设计
驱动电路及参数如图3所示。

HCPL-316J左边的VIN+,FAULT和RESET分别与微机相连。R7,R8,R9,D5,D6和C12 起输入保护作用,防止过高的输入电压损坏IGBT,但是保护电路会产生约1µs延时,在开关频率超过100kHz时不适合使用。Q3最主要起互锁作用,当两路PWM信号(同一桥臂)都为高电平时,Q3导通,把输入电平拉低,使输出端也为低电平。图3中的互锁信号Interlock,和Interlock2分别与另外一个316J Interlock2和Interlock1相连。R1和C2起到了对故障信号的放大和滤波,当有干扰信号后,能让微机正确接受信息。
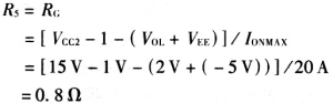
在输出端,R5和C7关系到IGBT开通的快慢和开关损耗,增加C7可以明显地减小dic/dt。首先计算栅极电阻:其中ION为开通时注入IGBT的栅极电流。为使IGBT迅速开通,设计,IONMAX值为20A。输出低电平VOL=2v。可得

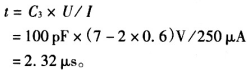
C3是一个非常重要的参数,最主要起充电延时作用。当系统启动,芯片开始工作时,由于IGBT的集电极C端电压还远远大于7V,若没有C3,则会错误地发出短路故障信号,使输出直接关断。当芯片正常工作以后,假使集电极电压瞬间升高,之后立刻恢复正常,若没有C3,则也会发出错误的故障信号,使IGBT误关断。但是,C3的取值过大会使系统反应变慢,而且在饱和情况下,也可能使IGBT在延时时间内就被烧坏,起不到正确的保护作用, C3取值100pF,其延时时间

在集电极检测电路用两个二极管串连,能够提高总体的反向耐压,从而能够提高驱动电压等级,但二极管的反向恢复时间要很小,且每个反向耐压等级要为1000V,一般选取BYV261E,反向恢复时间75 ns。R4和C5的作用是保留HCLP-316J出现过流信号后具有的软关断特性,其原理是C5通过内部MOSFET的放电来实现软关断。图3中输出电压VOUT经过两个快速三极管推挽输出,使驱动电流最大能达到20A,能够快速驱动1700v、200-300A的IGBT。
来源:21IC电子网


