- 易迪拓培训,专注于微波、射频、天线设计工程师的培养
基于三相四线APF的模糊直接反馈控制
电力电子技术的快速应用使各种非线性负载对电力系统的影响日趋严重,三相四线制电力系统在工厂和城市供电系统中普遍存在,电力系统中的无功功率、谐波污染和中性线过流等已成为一个非常严重的问题而日益受到重视。为实现对电力系统中的非线性电流的有效补偿,有源电力滤波器(Active Power Filter,APF)是动态抑制电力系统中的非线性电流及补偿无功电流的有效途径。解决非线性电流控制是三相四线APF首要的问题,而三相四线制APF与三相APF相比,由于中性线的存在,使电力系统通常工作于非对称状态。基于瞬时无功功率理论的方法建立在三相d-q解耦方法生成参考补偿电流;基于电流等效原理的方法直接检测并控制电源电流,但难以解决APF的非线性控制问题;非线性解耦的方法基于微分几何理论,用状态反馈精确线性化解决三相APF的非线性控制,但难以有效地控制三相四线制APF;模糊自学习的方法对APF补偿参数进行辨识,模糊神经网络的方法对APF进行电流预测;T-S模糊控制理论也被应用于APF非线性控制中,文献基于T-S模糊方法实施三相APF的直流侧电压的非线性控制及单相APF的非线性控制
以上方法难以解决APF电流检测的实时性和补偿的快速性,由于算法的复杂而导致了非线性电流检测的实时性下降,并直接影响到补偿的效果。文中提出的三相四线APF的T-S模糊模型具有规则少、实现简单、运算量小的特点,通过直接反馈控制的方法实现了对非线性电流的检测与控制。在保证系统稳定性的前提下,采用并行分布补偿(PDC)的方法设计T-S模糊控制器,通过求解线性矩阵不等式,获得状态反馈增益,实现了非线性补偿电流的直接反馈控制。仿真及实验结果表明了该方法能够有效地实现非线性补偿电流的控制,控制输出连续,控制超调小,适应能力强,适合于三相四线APF控制。
1 三相四线APF的电路模型
三相四线APF的电路模型如图1所示。

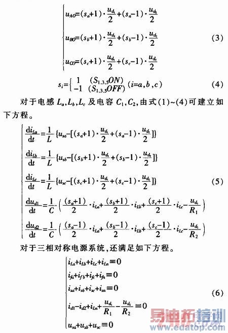
S1-S6分别为三相四线APF的主开关,三相电源电压为usa,usb,usc,电源电流为is=[isa,isb,isc,isn]T,非线性负载电流为if=[ifa,ifb,ifc,ifn]T,APF的输入电感为La,Lb,Lc,直流侧电容由两个容量相等的电容C1,C2构成,直流侧均压电阻由两个阻值相等的电阻R1,R2构成,直流侧的电压为ud1,ud2。
设APF补偿电流为iL=[iLa,iLb,iLc,iLn]T,由于电源侧中性点为N与直流便电容电压的中点O直接相连,取其为参考点,由图1可知。

设S1与S2的开关信号互补,S3与S4的开关信号互补,S5与S6的开关信号互补,即变流器以双极性方式工作,开关函数为Si,则

一般地,电流控制器可以采用滞环PWM电流控制,且滞环宽度足够小。令ud1=ud2=ud/2,ud为电容C1,C2上的总电压,S1,3,5的平均占空比分别为da,db,dc,且忽略R1,R2对系统的影响,则式(5)的平均占空比状态空间模型为:

其中x1,x2,x3,x4为一个开关周期内的电感La,Lb,Lc上电流及直流侧等效电容C1,C2上总电压的状态变量
2 三相四线APF的模糊直接反馈控制
三相四线APF的模糊直接反馈控制模型(7)中,一般地,变流器的开关频率远远大于电源电压基波的频率,在一个开关周期内,usa,usb,usc可以近似认为是恒定不定的。令us=[usa usb usc]T,d=[da db dc]T。由式(6)及三相电源系统的特点,可知d与us相对应,且d是关于x,us的时变函数,即:

[usa usb usc 0]T。式(9)为参数不确定非线性系统,可以采用文献提出的参数不确定性线性化方法建立T-S模糊控制模型。将式(9)进行Taylor分解,得到平衡点线性化的T-S模糊控制模型。
设式(9)的真值模型为:

根据真值模型(10),构造一个控制器,使(x0,d0)是闭环系统的渐近稳定平衡点,实现对工作点的线性化。
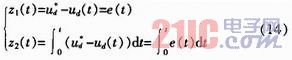
根据电路的特点及控制的要求,同时为减少规则数,设T-S模糊控制器的输入前件变量为2个,由三相四线APF的电路模型可知,直流侧电压是可观测的,令模糊控制器的输入前件向量定义为:

式中为APF直流电压侧设定值,ud(t)为APF直流侧电压测量值。模糊控制器的输入前件模糊化为正、负两值,设其隶属度函数如下:



3 模糊反馈控制器设计
3.1 三相四线APF的T-S模糊直接反馈控制稳定性
对于以上所建立三相四线APF的T-S模糊控制模型(17),利用平行分布补偿算法设计模糊状态反馈控制律(18),得到闭环反馈控制系统(19),需要保证系统是稳定的。对开环模糊模型(17)在状态反馈控制律(18)条件下的闭环模糊系统(19),存在一个公共的对称正定矩阵H,和矩阵Gij=Mi-NiKj,选取Lyapunov函数V(x(t))=xδ(t)THxδ(t),当x(t)≠0时,有V(x(t))<0。根据Lyapunov稳定定理,闭环模糊系统(19)在平衡点是全局渐近稳定的。
3.2 三相四线APF的T-S模糊直接反馈控制器设计
为了求解模糊反馈控制器的状态反馈增益矩阵Ki及正定矩阵H,通过简单的变量代换,转换为求解等价的矩阵X=H-1及矩阵Yi=KiX的线性矩阵不等式形式,可通过MATLAB软件中的LMI工具箱求解。本系统中,三相四线APF的主电路参数为La=Lb=Lc=L=4 mH,C1=C2=4700μF,R1=R2= 5 kΩ,根据主电路模型,参考文献,选择x4(0)=800 V,得平衡点处da(0)=0.111 25,db(0)=dc(0)=0.694 375,x1(0)=-0.137 2 A,x2(0)=x3(0)=0.068 6 A。

故系统在平衡点处的状态空间模型如式(22)所示。

由式(15)和式(16)的模糊前件变量函数,可得到系数矩阵行列式Mi、Ni的数值解。根据系统的特性,选择α1=10,α2=80,利用LMI工具箱可得到公共正定矩阵H以及4个反馈增益矩阵K1,K2,K3和K4的数值解。
4 仿真及实验结果
由以上分析,在MATLAB中建立如图2所示的三相四线APF模糊直接反馈控制的仿真电路。其中三相非线性负载为三相全桥整流电路,滤波电感为0.5 mH,滤波电容为1 000μF,负载电阻为25 Ω,仿真结果如图3所示。

仿真表明了采用T-S模糊直接反馈控制的方法,可以实现三相四线APF的非线性控制,有效地补偿非线性负载所产生的谐波及无功功率。对于三相整流电路这种典型的非线性负载,该控制系统可以使电力系统电流的谐波含量由补偿前的98%降低至补偿后的6.8%,功率因数由0.87提高到0.99。
在突加和突卸三相全桥整流电容滤波负载的条件下,在PI控制下(kp=0.3,ki=40),直流侧电压在突加负载调节过程中超调量为1.9%;而在突卸负载时超调量为2.3%。采用本文的T-S模糊直接反馈控制时,在相同条件下,直流侧电压在突加负载调节过程中超调量约为1.2%,在突卸负载时超调量为0.06%。
在PI参数以及T-S模糊控制的参数没有改变的前提下,增大负载电流时,直流侧电压的超调量及调节时间如表1所示。

传统PI控制在负载参数发生变化时,可能达不到最优控制效果,甚至可能产生极大的振荡而使系统不稳定,需要重新进行PI控制参数设定。采用本文T-S模糊反馈控制的方法可以自动适应负载的大范围变化,其控制效果基本保持不变。
在此基础上,搭建了以TMS320F2812为核心的实验平台,其三相四线非线性负载为晶闸管调压不对称阻性负载(RL1=12 Ω,RL2=24 Ω,RL3=18 Ω),实验原理如图4所示,实验波形如图5~7所示。

经T-S模糊直接反馈控制前后电源电流的频谱分布如图8所示。补偿前含有丰富的谐波,其总谐波含量THD为38%;补偿后总谐波含量THD约为9.9%。同时功率因数也由补偿前的约0.8提高到补偿后的0.97。

5 结束语
本文采用T-S模糊直接反馈控制的方法实现了三相四线APF补偿电流的非线性控制,对电源电流进行直接反馈跟踪控制,有效地补偿了由非线性负载引起的谐波及无功功率,同时校正了由于三相负载不对称引起零线上的非线性电流。在Lyapunov稳定理论的基础上,基于并行补偿算法的策略实现了T-S模糊反馈控制器设计,利用LMI的方法求解出满足全局渐近稳定的反馈增益矩阵。仿真及实验结果验证了T-S模糊直接反馈控制应用于三相四线APF,无需进行基于瞬时无功功率理论的坐标变换及复杂的计算就可以有效地解决其非线性控制问题,具有控制规则少,输出连续,容易实现,对负载的适用范围宽等优点。
作者:范景林 颜文旭 来源:现代电子技术

