 图1 跳频信号波形 由图1可见,相邻两个跳频信号的载频频率是不同的,而且两个载频交界处的相位通常并不连续,存在突变。隙同步原理就是利用了跳频信号的这个特点来实现位同步的。
在图1中,从t0时刻开始提取一个码元长度的信号,通常在该段信号内包含着一个跃变点。若不存在跃变点,即码元准确同步,则跳频信号的幅度谱表现为如图2所示的单音信号形式。
 图2 同步时跳频信号幅度谱 若在该段信号内存在跃变点,则信号的幅度谱将有所不同,在载频频率f0之外还有一些因跃变而产生的频率分量fi、fj等,这些分量的幅度较之f0要小得多,如图3所示。
 图3 不同步时跳频信号幅度谱 由此可见,通过分析信号的幅度谱,可以判断跃变点的位置。具体而言,首先对信号均匀抽样得到长度为N的离散信号序列,对该离散序列进行快速傅立叶变换(FFT)得到其幅度谱,然后通过比较载频频率f0与相位跃变所产生频率分量的幅度,即可以判断信号是否同步。若因相位跃变而产生的频率分量的幅度之和为0,则表明信号已同步;否则,将信号延迟若干点,继续作N点FFT,直到信号同步。
以上讨论不存在噪声干扰的理想情况。然而,在实际应用中,噪声时刻存在,这使得信号即使同步了,除载频f0以外的各频率分量的能量也不会为0。但是在环境不十分恶劣的情况下,即当信号没有完全淹没在噪声中时,上述原理仍然适用。
1.2 隙同步实现方法[3~4]
基于上述隙同步原理,本文设计了如下的同步点寻找方法:
(1) 以t0时刻为起始点取一段跳频信号,对该段跳频信号进行A/D转换得到离散信号序列。
(2) 从所得信号序列中顺序取出一个码片长度(N点)的信号,进行N点FFT运算得到该部分信号幅度谱。若该幅度谱中峰值对应的频率分量是约定频率之一,则将除该频率分量以外的所有频率分量的幅度求平方和,并记为a1,然后延迟W点(一般取W使N/W为整数),顺序取出N点信号,重复以上过程,直到完成N/W次(一个码片长度)的分析,所得的幅度和依次记为a2,a3,…,aN/W。若该幅度谱中峰值对应的频率分量不是约定的频率之一,则延迟W点取出后续的N点信号,重复上述操作。
(3) 从所得到的{a1,a2,…,aN/W}中取一个最小值ai,并将该点对应的时刻(即点序号)记为A1,初步认为该时刻即为同步点。A1可以根据下式计算,即
A1=startpoint+(i-1)×W(1)
(4) 重复(2)、(3)步骤,进一步得到A2、A3值。然后比较A1与A2、A2与A3的距离是否为一个码元的长度,若是,则表明所取同步点A1正确。
2 隙同步TMS320算法设计
2.1 隙同步程序
根据上述隙同步原理和同步点寻找方法,本文采用TI公司TMS320C54X系列DSP芯片[5]进行硬件仿真,具体程序流程图如图4所示。
 图4 隙同步程序流程图 为了便于数值仿真分析,本文将FFT运算所用到的余弦表值模拟为跳频信号的A/D输入数据,并规定一个码元周期内信号抽取点数为256点。具体输入数据设计如下:每个频率的数值表占用256个存储单元,存储顺序依次为选定频率的基频、倍频、4倍频、8倍频和16倍频值。
输入数据送入以addr1为首地址的数据存储区中,偶地址单元存储实部,奇地址单元存储虚部。指定C3为延迟指针,用于指定点搜索的起始位置。每次点搜索过程由程序控制将从地址(addr1+C3)开始的256个单元的数据送入FFT模块进行幅度谱分析,本文中C3每次移动8个数据单元。在判断峰值频率是否为约定频率之一时,通过约定频率的存储器位置进行判决,本文选取8个约定频率。
C1和C2为运算次数计数器。当C1=32时,表示已经完成一个码元长度的同步点搜索,可以开始寻找32个和值中的最小值,否则继续计算。C2用于计算寻找到的同步点的个数。本文采用3个同步点辅助判断,因此,当C2=3时即可进行同步判决。若同步成功,在程序结束时将地址大于3000的10个单元置1。
2.2 FFT算法设计
上述同步点寻找算法是一种基于信号频谱分析的幅度同步方法,对信号的幅度谱分析主要是利用快速傅立叶变换(FFT)算法完成的。因此,FFT算法的设计对上述隙同步方法是至关重要的。
按时间抽取FFT(DIT-FFT)算法是FFT算法的一种。它通过不断地把时间序列N点x(n)按照序号n奇偶性分解为偶序列和奇序列,并进行L=log2N级蝶形运算,从而减少乘法和加法的运算次数,尽可能地减小运算量[6]。
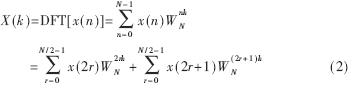
DFT变换式为:
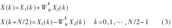
 根据旋转因子的周期性和对称性,可以将X(k)进一步表示为:
式(3)中,X1(k)和X2(k)分别为偶序列和奇序列的N/2点DFT。由此可见,只要求出0到(N/2-1)区间内的所有X1(k)和X2(k)值,即可求出0到(N-1)内所有X(k)值,这就大大节省了运算。
利用蝶形信号流图,(3)式可以表示为如图5所示的蝶形运算形式。
 图5 蝶形运算单元 对于N点的FFT运算,共包含有L=log2N级蝶形运算。通过不断对序列进行奇偶序列分解,即可以得到N点FFT运算的流图。根据DIT-FFT算法的特点可知FFT程序设计有如下三个关键的问题:
(1)输入序列应该是反序输入,即按照序号n的比特反转值输入;
(2)与各级蝶形单元相应的旋转因子值的确定;
(3)蝶形单元的控制,包括输入数据的读取、输出数据的存储及时序控制等。
FFT算法的流程图如图6所示。
 图6 FFT算法的流程图 根据短波跳频信号的特点,本文提出了一种新的跳频通信网位同步方案——隙同步的方法,并基于TI公司TMS320C54X系列DSP,采用TMS320汇编语言对隙同步方案进行了硬件实现和分析。
仿真结果表明:隙同步原理能较好地解决跳频通信网中接收端的位同步问题,为后续单元实现正确译码奠定了基础。而且,由于TMS320C54X系列DSP具有运算速度快、精度高的特点,采用该方法可以获得较短的同步时间,有利于提高通信网的性能。
参考文献
1 胡中豫.现代短波通信[M].北京:国防工业出版社,2003:222~246 2 Li Weidong, Wang Jing, Yao Yan. Synchronization design of frequency-hopping communication system[C]. ICCT’98.Beijing,China:1998(10):S13-01-1~S13-01-5 3 Marvink.Simon, Jimk.Omura, Robert A.Scholtz,etc.扩频通信技术教程(英文版)[M]. 北京:人民邮电出版社,2002;958~1022 4 甘良才,阚爱武.基于短波FH/DQPSK系统的FFT同步方案[J].电波科学学报,2001;16(3):390~393 5 戴明桢,周建江. TMS320C54x DSP结构、原理和应用[M].北京:北京航空航天大学出版社,2002 6 程佩青.数字信号处理教程[M].北京:清华大学出版社,1995:215~252
上一篇:一种GSM固定无线接入设备的设计(上)
下一篇:德州仪器
IP
语音解决方案被合勤科技用于新一代接入设备与
IP
电话
国内最全面、系统、专业的手机天线设计培训课程,没有之一;是您学习手机天线设计的最佳选择...【More..】
射频工程师养成培训课程套装,专家授课,让您快速成为一名优秀的射频工程师【More..】
网站地图
| | | | | |