- 易迪拓培训,专注于微波、射频、天线设计工程师的培养
低压电力线信道噪声环境下捕获算法的改进
录入:edatop.com 点击:
O 引 言
直接序列扩频(DSSS)是使用伪随机码扩展载有信息数据的基带信号的频谱,从而形成觅带低功率谱密度信号来发送。其中伪随机码比发送信息数据速率高许多倍。接收端再进行处理和解调,恢复原始数据信号,从而减少噪声对信号的影响。随着直接序列扩频技术在各种领域的广泛应用,接收端对直接序列扩频信号码同步技术的要求也越来越高。特别是当接收机处于信噪比较低的环境时,直接序列扩频信号的同步具有很大的挑战性。评价直接序列扩频(DSSS)接收机性能的主要因素包括虚警概率、检测概率和平均捕获时间。传统的滑动相关法在低信噪比环境下同步虚警率较高,捕获时间也大大增加。在此,利用扩频信号同步前后,其上下通带的输出功率差比上通带输出功率变化梯度大的特点,提出了一种适用于低压电力线信道噪声环境下的改进捕获算法。通过理论和仿真分析,验证了该算法在低信噪比低压电力线环境下,有较低的同步虚警概率和较高的检测概率,可以提高扩频接收机的捕获性能。
l 传统的单积分滑动相关算法
传统方法的实现如图1中的虚线所示,含有噪声的接收信号经解扩处理后,变为中频窄带信号,经平方检波后送往积分器。积分器是从O~TD的积分清除积分器(TD为积分器的积分时间,在TD时刻输出积分值,并清零,如此重复)。该值与门限比较器的门限值做比较,当它低于设定的某一门限值时,输出一一个信号给时钟电路,以控制时钟电路的工作状态,从而改变本地编码序列的相位状态。改变后的本地序列相位状态再重复上述的解扩、中频滤波、平方检波、积分和比较过程。当积分器的输出大于给定门限时,表示已完成对发送来的编码序列相位的捕捉,门限比较器的输出不再改变时钟电路的工作状态,而是给跟踪同步电路输送信号,进入编码序列的同步跟踪。

2 基于低压电力线的改进算法
在扩频同步捕获阶段,接收到的PN码与本地的PN码之间大部分都存在着码元同步偏移,而码元同步偏移会对相关器的输出造成影响,使有用信号的输出功率下降,同时还造成了输出噪声功率的增加,该输出噪声称为码自噪声。
由于滤波器的通带内、外的能量总和是一定的,在同步的情况下,能量集中在通带内,通带外的信号能量为0;在不同步情况下,通带外的能量要大于或者等于通带内的能量。
在此,采用基于功率谱估计的改进捕获算法。采用上通带和下通带两个窄带滤波器,分别对其滤出的信号功率谱进行分析和估计,如图1所示。其中,上支路为传统串行单积分滑动相关法,该支路用于滤出解扩后信号功率;下支路用于滤出解扩后上通带以外噪声的一部分功率作为估计。在低信噪比的电力线环境下,利用上下通带内外功率差代替传统使用带内信号功率作为同步门限比较器输入值的方法,降低了同步虚警率,并提高了同步的检测概率。
2.1 电力信道环境下信号的传输特性
扩频系统使用的通信频带主要在100~450 kHz。在这个频带上,低压电力线上的噪声可以分为背景噪声、与工频同步的周期性噪声、突发性噪声、频域窄带脉冲噪声4类。其中,背景噪声对电力线扩频通信的影响最大。在扩频频带内背景噪声基本保持水平状态,其特性为平稳的高斯白噪声;与工频同步的周期性噪声持续时间长,频域覆盖范围广,功率大。但高传输速率的通信系统由于数据包持续时间短,可在周期性噪声的间隙进行传输,从而降低了这种噪声的影响;突发性噪声的能量主要集中在100 kHz以下,且其产生的频率与每秒几千比特的数据传输率相比很低,因而对扩频传输系统的影响不是很大;频域窄带脉冲噪声的特点是:一旦产生,持续时间长,能量大。如果通信系统采用单频载波,且载波频率恰好落在这种窄带噪声的频率上,那对此系统的通信传输影响很大。
根据上述分析,针对其中影响比较大的两类噪声进行分析:背景噪声与频域窄带脉冲噪声。上带通输出的信号功率包括有用信号、部分背景噪声、部分频域窄带脉冲噪声;下通带输出的信号功率包括码自噪声、部分背景噪声和部分频域窄带脉冲噪声。
假设发送端发送的信息码经扩频和BPSK调制后发送,则接收机接收到的信号可以表示为:
s(t)=Ad(t)c(t)cos(2πf0)+n(t)
式中:A为接收信号的振幅;d(t)为发送的信息码;c(t)为扩频的伪随机码;f0为BPSK载波频率;n(t)为低压电力线信道上的噪声。
2.2 有用信号与码自噪声
在实现相关运算时,只有当接收信号与本地参考信号完全对准时,相关器输出最大。如果它们之间有偏移,即有定时误差,相关器输出减小,出现相关损失。所损失的能量将转变为由有用信号和与本地码进行相关运算后造成的码自噪声。
设T表示接收到的伪随机码的波形延迟,T1是T的本地估值。在码元偏移情况下:T一T1≠0,c(t一T)c(t一T1)含有直流分量和一些干扰噪声。这些干扰噪声称为码自噪声。
当|T-T1|=εTc,设O≤|ε|≤1为本地PN码与接收PN码的相对时延。
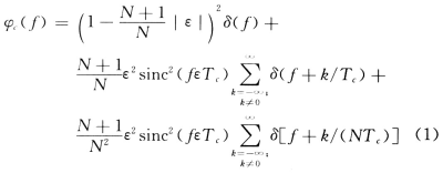
计算得到C(t,ε)=c(t-T)c(t-T1)的功率谱密度函数为:

设上通带的频带为:f0-fb≤f≤f0+fb。其中:f0为载波频率;fb为基带信息码率;fc为伪随机的码片速率;且fb=1/NTc,则由式(1)可得上通带的输出有用信号功率为:

设下通带的频带为:f0-3fb≤f≤f0-fb,同理由式(1)得到下通带输出的码自噪声功率为:

根据理论计算,所得结论如表1所示。表1列出了在不同|ε|,上下通带输出的功率值及其差值。由表l可以看出,在扩频系统同步前后,上下通带输出的功率值之差比上通带输出功率的变化梯度大。

2.3 背景噪声
一般来说,在扩频通信频带内,低压电力线信道上的背景噪声可归为高斯白噪声。假设该噪声与进入接收机的其他信号相互独立,则其通过接收机输入滤波器后的功率谱密度为:

由已知理论推得噪声在扩频相关接收机输出的平均功率为:

式中:Sn(F)为背景噪声的功率谱密度;|H(f)|2为窄带带通滤波器的频率传输函数;Sc(f)为m序列的功率谱密度。
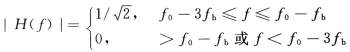
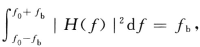
在上通带(f0-fb≤f≤f0+fb)中,Sc(f)可看作平坦的,即可得:

假设该窄带带通滤波器的功率传输函数是理想的,并对其幅频特性进行了归一化,即:

由式(3)可得
则式(3)化为fbTcsinc2(FTc),整理可得该背景噪声在上通带的输出功率值为:

式中:
为扩频码的功率。
下通带的功率传输函数为:

直接序列扩频(DSSS)是使用伪随机码扩展载有信息数据的基带信号的频谱,从而形成觅带低功率谱密度信号来发送。其中伪随机码比发送信息数据速率高许多倍。接收端再进行处理和解调,恢复原始数据信号,从而减少噪声对信号的影响。随着直接序列扩频技术在各种领域的广泛应用,接收端对直接序列扩频信号码同步技术的要求也越来越高。特别是当接收机处于信噪比较低的环境时,直接序列扩频信号的同步具有很大的挑战性。评价直接序列扩频(DSSS)接收机性能的主要因素包括虚警概率、检测概率和平均捕获时间。传统的滑动相关法在低信噪比环境下同步虚警率较高,捕获时间也大大增加。在此,利用扩频信号同步前后,其上下通带的输出功率差比上通带输出功率变化梯度大的特点,提出了一种适用于低压电力线信道噪声环境下的改进捕获算法。通过理论和仿真分析,验证了该算法在低信噪比低压电力线环境下,有较低的同步虚警概率和较高的检测概率,可以提高扩频接收机的捕获性能。
l 传统的单积分滑动相关算法
传统方法的实现如图1中的虚线所示,含有噪声的接收信号经解扩处理后,变为中频窄带信号,经平方检波后送往积分器。积分器是从O~TD的积分清除积分器(TD为积分器的积分时间,在TD时刻输出积分值,并清零,如此重复)。该值与门限比较器的门限值做比较,当它低于设定的某一门限值时,输出一一个信号给时钟电路,以控制时钟电路的工作状态,从而改变本地编码序列的相位状态。改变后的本地序列相位状态再重复上述的解扩、中频滤波、平方检波、积分和比较过程。当积分器的输出大于给定门限时,表示已完成对发送来的编码序列相位的捕捉,门限比较器的输出不再改变时钟电路的工作状态,而是给跟踪同步电路输送信号,进入编码序列的同步跟踪。

2 基于低压电力线的改进算法
在扩频同步捕获阶段,接收到的PN码与本地的PN码之间大部分都存在着码元同步偏移,而码元同步偏移会对相关器的输出造成影响,使有用信号的输出功率下降,同时还造成了输出噪声功率的增加,该输出噪声称为码自噪声。
由于滤波器的通带内、外的能量总和是一定的,在同步的情况下,能量集中在通带内,通带外的信号能量为0;在不同步情况下,通带外的能量要大于或者等于通带内的能量。
在此,采用基于功率谱估计的改进捕获算法。采用上通带和下通带两个窄带滤波器,分别对其滤出的信号功率谱进行分析和估计,如图1所示。其中,上支路为传统串行单积分滑动相关法,该支路用于滤出解扩后信号功率;下支路用于滤出解扩后上通带以外噪声的一部分功率作为估计。在低信噪比的电力线环境下,利用上下通带内外功率差代替传统使用带内信号功率作为同步门限比较器输入值的方法,降低了同步虚警率,并提高了同步的检测概率。
2.1 电力信道环境下信号的传输特性
扩频系统使用的通信频带主要在100~450 kHz。在这个频带上,低压电力线上的噪声可以分为背景噪声、与工频同步的周期性噪声、突发性噪声、频域窄带脉冲噪声4类。其中,背景噪声对电力线扩频通信的影响最大。在扩频频带内背景噪声基本保持水平状态,其特性为平稳的高斯白噪声;与工频同步的周期性噪声持续时间长,频域覆盖范围广,功率大。但高传输速率的通信系统由于数据包持续时间短,可在周期性噪声的间隙进行传输,从而降低了这种噪声的影响;突发性噪声的能量主要集中在100 kHz以下,且其产生的频率与每秒几千比特的数据传输率相比很低,因而对扩频传输系统的影响不是很大;频域窄带脉冲噪声的特点是:一旦产生,持续时间长,能量大。如果通信系统采用单频载波,且载波频率恰好落在这种窄带噪声的频率上,那对此系统的通信传输影响很大。
根据上述分析,针对其中影响比较大的两类噪声进行分析:背景噪声与频域窄带脉冲噪声。上带通输出的信号功率包括有用信号、部分背景噪声、部分频域窄带脉冲噪声;下通带输出的信号功率包括码自噪声、部分背景噪声和部分频域窄带脉冲噪声。
假设发送端发送的信息码经扩频和BPSK调制后发送,则接收机接收到的信号可以表示为:
s(t)=Ad(t)c(t)cos(2πf0)+n(t)
式中:A为接收信号的振幅;d(t)为发送的信息码;c(t)为扩频的伪随机码;f0为BPSK载波频率;n(t)为低压电力线信道上的噪声。
2.2 有用信号与码自噪声
在实现相关运算时,只有当接收信号与本地参考信号完全对准时,相关器输出最大。如果它们之间有偏移,即有定时误差,相关器输出减小,出现相关损失。所损失的能量将转变为由有用信号和与本地码进行相关运算后造成的码自噪声。
设T表示接收到的伪随机码的波形延迟,T1是T的本地估值。在码元偏移情况下:T一T1≠0,c(t一T)c(t一T1)含有直流分量和一些干扰噪声。这些干扰噪声称为码自噪声。
当|T-T1|=εTc,设O≤|ε|≤1为本地PN码与接收PN码的相对时延。
计算得到C(t,ε)=c(t-T)c(t-T1)的功率谱密度函数为:

设上通带的频带为:f0-fb≤f≤f0+fb。其中:f0为载波频率;fb为基带信息码率;fc为伪随机的码片速率;且fb=1/NTc,则由式(1)可得上通带的输出有用信号功率为:

设下通带的频带为:f0-3fb≤f≤f0-fb,同理由式(1)得到下通带输出的码自噪声功率为:
根据理论计算,所得结论如表1所示。表1列出了在不同|ε|,上下通带输出的功率值及其差值。由表l可以看出,在扩频系统同步前后,上下通带输出的功率值之差比上通带输出功率的变化梯度大。

2.3 背景噪声
一般来说,在扩频通信频带内,低压电力线信道上的背景噪声可归为高斯白噪声。假设该噪声与进入接收机的其他信号相互独立,则其通过接收机输入滤波器后的功率谱密度为:

由已知理论推得噪声在扩频相关接收机输出的平均功率为:

式中:Sn(F)为背景噪声的功率谱密度;|H(f)|2为窄带带通滤波器的频率传输函数;Sc(f)为m序列的功率谱密度。
在上通带(f0-fb≤f≤f0+fb)中,Sc(f)可看作平坦的,即可得:

假设该窄带带通滤波器的功率传输函数是理想的,并对其幅频特性进行了归一化,即:

由式(3)可得

式中:
下通带的功率传输函数为:

上一篇:Nios
II与CF卡的接口设计
下一篇:亨通为发展中国家做光纤光缆知识培训


