- 易迪拓培训,专注于微波、射频、天线设计工程师的培养
关于RFID的博物馆人机互动定位系统
近几年,随着无线射频识别技术RFID(Radio FrequencyIdenTIficatiON)的快速发展,RFID技术已经被广泛地应用在物流追踪、仓库管理、图书馆管理、智能考勤等各个方面。RFID技术不断渗透到生活的各个角落,如北京奥运会中使用了RFID智能门票系统,上海世博会上RFID技术更是无处不在。
在21世纪的今天,现代博物馆是集参观流览、智能互动于一体的多媒体信息系统。在现代博物馆的智能互动系统中,游客的室内定位常常是实现人机互动的必要前提。相对于其他成熟的定位技术(如GPS 、Wi-Fi 、蓝牙等),RFID定位技术能够很好地克服由室内无线环境引起的多径和视距干扰,具有灵活性高、适应性强、操作便捷等优点,使得RFID在博物馆这种空间较小但环境复杂的室内定位场合具有广泛的应用前景。国外已经成功地将RFID技术应用于博物馆中,如美国加州创新技术博物馆、San Francisco的科学博物馆Exploratorium等。
这些现代的科学博物馆将RFID技术应用于真人互动游戏中,支持游客在真实环境下与真实物体实现互动,突破了传统游戏场景的限制,为游客提供更加自由和人性化的互动服务。
本文基于博物馆的实际应用环境,结合RFID定位技术设计了一种人机互动的定位系统,主要包括人机互动的游戏部分和辅助人机互动的区域定位部分。同时提出了一种结合RFID定位技术的人机互动游戏应用方案,并将该方案成功应用到博物馆中。
1 系统原理和功能
1.1 系统原理
RFID是一种利用射频信号自动识别目标对象并获取相关信息的技术。RFID技术可以分为有源系列和无源系列。有源和无源RFID的性能对比如表1所示。

表1 有源和无源RFID对比
由表1可知,有源RFID具有更长的识别距离和更强的移动追踪能力。本文需要对博物馆中人员进行室内定位追踪,故采用有源RFID设备。
系统主要包括三个部分:标签、读写器和信息处理系统。标签和读卡器构成RFID网络,感知游客的各种情景信息,并远程传输给信息处理系统集中处理。
博物馆的场馆简易平面分布图如图1所示。

RFID的博物馆人机互动定位系统主要包含人机互动的游戏部分和人员区域定位部分。人机互动的游戏部分主要利用图1中互动游戏场馆内编号为a 、b 、c的读写器实现室内精确的二维定位,便于与游戏地图进行比较,从而完成移动人员的定位与追踪。人员区域定位部分主要利用图1中场馆通道间的读写器(编号为0 、1 、2、3、4 、5 、6)实现,游客在通过场馆通道时,读写器会自动读取游客门票中的标签信息,完成区域定位的功能。
标签的ID号是唯一的,用于游客身份的识别。读写器接收到的数据包含有标签ID号信息、数据发送时刻信息等,PC上位机接收到的数据包含有源标签ID号信息、数据发送时刻信息和转发数据包的读写器编号信息等,PC上位机集中处理这些由读卡器转发而来的数据包。系统原理框图如图2所示。

1.2 系统功能
1.2.1 游戏场馆内人员移动轨迹的追踪
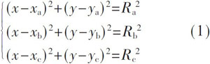
如图3所示,在游戏场馆C区内,设编号分别为a 、b 、c的三个有源读写器的位置为(xa,ya),(xb,yb),(xc,yc),游客的位置坐标(x,y),三个读卡器到游客的距离分别为Ra、Rb、Rc,由时间信息定位方法(TOA)可得式(1),即可求解游客的位置坐标(x,y)。

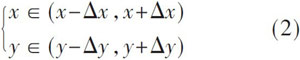
由于电磁波信号在室内传播呈现多径效应干扰衰弱与遮蔽效应,预估的传播距离将产生误差,所以定位的位置不会交于一点,而是一定面积大小的区域。
为了不失一般性以及方便定位需要,可设游客的位置坐标落在由点(x-△x ,y-△y) 、(x-△x ,y+△y) 、(x+△x ,y -△y)和(x +△x ,y +△y)构成的长方形区域内,其中长方形的长、宽分别为△x、△y,即游客的位置坐标(x,y)满足式(2)。

如某游客进行人机互动游戏时,设其初始位置为Ini,目标位置为Des,游戏地图由小长方形区域组成,如图3中灰色区域所示,游客根据灰色的游戏地图进行移动,与此同时,系统实时地将解算出的游客位置与游戏设定的地图相匹配,进而完成互动游戏。
1.2.2 游客的实时区域定位
当游客在图1中入口处的0号读写器刷卡后,即可授权进入博物馆参观,游客门票中的标签ID号信息被送往PC上位机实时处理,建立游客文档INFO.游客文档包括进入各场馆的时间、离开各场馆的时间、在各场馆参观的时间、当前所在的场馆区域及游客头像等信息,INFO的结构体表达式如下:
其中结构TOURTIME定义为:

上一篇:环形
网
vs
星型
网
下一篇:ZigBee技术在钢铁车间中的数据采集应用


