- 易迪拓培训,专注于微波、射频、天线设计工程师的培养
电-磁振子组合型超宽带UWB天线的特性研究
本文从电-磁组合型天线的物理结构分析入手,结合实验和数值模拟,采用频域和时域测量相结合的方法,对电-磁组合型天线的特性进行了研究。
1 理论分析
1.1 天线结构
图1为电-磁振子组合型超宽带天线结构示意图[2]。图中所示:①为天线同轴馈电区;②为外导体板;③为电流环调节器;④为TEM喇叭上极板;⑤为TEM喇叭下极板。

图1 电-磁振子组合型UWB天线结构示意图
1.2 天线物理结构及其特性分析
天线的物理结构与天线性能有比较密切的关系。辐射天线的输入阻抗与超宽谱脉冲源的特性阻抗的失配,造成天线馈源处不同程度地反射。从图1所示的天线结构形式来看,激励脉冲(如图2)进入同轴馈电区后,具有宽频带特征(如图3)的脉冲电流馈入天线。一部分电流通过①、③、②构成的电流环(或磁振子)向自由空间辐射,同时产生反射波和热耗(由于激励脉冲的上限频率较低,天线的热损耗一般可不予考虑);另一部分电流通过①、④、⑤构成的阻抗渐变型TEM喇叭(主要表现为电振子辐射器)向自由空间辐射,同时也产生反射波。

图2 激励脉冲波形 图3 激励脉冲频谱
根据以上分析,可以得到该天线等效电路,如图4所示。其中Rring、Rtrumpet分别为天线的磁振子(电流环)与电振子(TEM喇叭)的辐射电阻,二者与激励信号的频率f成非线性关系。

图4 电-磁振子天线等效电路图
天线中的电流环为并联谐振回路,随着频率的提高,电流环由低频短路负载逐渐转变成为以磁振子为主的辐射器,磁振子的辐射电阻Rring也相应增加。对低频而言,电流环为小环辐射器,相当于磁基本振子,其辐射特性等同于磁基本振子;而对高频而言,它又相当于大电流环辐射器,可以应用大电流环辐射理论来分析其输入特性和辐射特性。
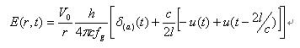
在电-磁振子组合型超宽带天线中,TEM喇叭相当于串联谐振回路。随着频率的提高,TEM喇叭由低频开路负载逐渐转变成以电振子为主的辐射器,电振子的辐射电阻Rtrumpet也随之变化。对低频而言,TEM喇叭最基本的物理模型为偶极子天线,它的辐射场是若干偶极子场的矢量叠加。其时域辐射场表达式[4]为:
![]()
其中:f(g)为TEM喇叭特性阻抗与自由空间阻抗的比值,δ(a)(t)为冲击函数,h为喇叭口面高度,l为喇叭长度,V0 为馈入天线的阶跃电压的幅值。
随着频率的进一步提高,TEM喇叭再转变成为高频短路负载。当频率f很高时,TEM喇叭电振子和电流环磁振子均严重失谐,分别处于短路和开路状态。造成馈源处较大反射。
电-磁振子组合型超宽带天线中电振子与磁振子的远区辐射场同为垂直极化波。通过调整磁振子与电振子的参数Lring、Ctrumpet以及相位中心距,使两个天线振子形成电-磁振子互补辐射[3],从而降低天线的辐射电阻对信号频率的依赖,扩展了天线的工作频带,降低了天线负载的不匹配所造成的反射,而且还能使两个辐射器的空间瞬态辐射场相互叠加,最大限度地提高天线的辐射效率。
2 模拟计算
在以上分析的基础上,利用数值模拟软件对50x50x50cm3的电-磁振子组合型超宽带天线进行了模拟,图5、图6为数值模拟结果。

(a) 天线驻波曲线 (b) 天线输入阻抗圆图
图5 50cm电-磁振子组合型天线模拟结果

图 6 不同频率下50cm电-磁振子组合型UWB天线在θ=900和φ=900平面的方向图
来源:21IC电子网


