- 易迪拓培训,专注于微波、射频、天线设计工程师的培养
基于FPGA实现的FFT插值正弦波频率估计
2 算法硬件实现
本文算法充分利用了FPGA并行计算的优点,在FPGA实现时采用流水线模式,经过固有时间后,每个时钟周期可以输出一个指定操作的结果,提高了算法的运算速度。
从前面的分析可知,整个测频算法主要包括粗测频和精测频2个部分:首先对信号作FFT运算并进行谱峰搜索得到峰值位置;再通过插值FFT运算得到频率偏差δ1,δ2;粗测频部分可以直接调用相关FPGA的FFT库函数完成。从式(3)可知精测频部分需要大量计算三角函数,本文采用查表法来实现。整个算法流程如图2所示。

3 仿真分析
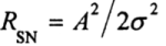
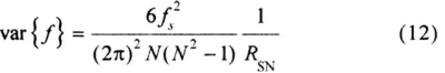
信噪比定义为:,σ为噪声均方误差。对正弦波信号,在相位、幅度和频率3个参数均是未知的情况下,频率估计的方差下限为:


式中N为样本数。在仿真中设fs=167 MHz,N=512,因此两条谱线间的频率差为△f=fs/N。现取fi=45.5△f+(i-1)△f/20(i=l,2,…,21)的正弦波,即对应FFT后峰值位置与信号真实峰值偏差δ为[-0.5,0.5]。对每个频率fi的取值分别作l 000次Monte Carlo试验,计算δl,δ2的均方根误差(RMSE),定义比率R=RMSE/CRB,仿真结果如图3、图4所示。RSN取-20 dB~0 dB,步长为0.5 dB,分别做1 000次Monte Carlo试验,计算新算法的归一化频率估计均方误差,仿真结果如图5所示。


仿真结果表明δ2不随被估计信号的频率分布而产生波动;当RSN>-14 dB时,新算法频率估计值的方差在整个频段都接近卡拉美-罗限,具有稳定的性能。
4 结论
本文在分析Rife,MRife和傅里叶系数插值迭代3种算法的基础上,将串行迭代变为并行迭代,由此得出了一种快速频率估计算法,并分析了新算法与前3种算法的异同。计算机仿真结果证实新算法能够快速、高精度估计单频信号的频率,便于工程实现,适合应用在雷达、电子对抗等对处理实时性要求非常高的领域。
作者:江 舸,陶荣辉,李 钒,李合生 中国工程物理研究院 来源:现代电子技术

