- 易迪拓培训,专注于微波、射频、天线设计工程师的培养
OFDM系统仿真与分析
现代社会对通信的依赖和要求越来越高,于是设计和开发效率更高的通信系统成了通信工程界不断追求的目标。通信系统的效率,说到底是频谱利用率和功率利用率。特别是在无线通信的情况下,对两个指标的利用率更高,尤其是频谱利用率。于是,各种各样具有较高频谱效率的通信技术不断被开发出来,OFDM(Orthogonal Frequency Division Multiplexing,正交频分复用)是一种特殊的多载波调制技术,它利用载波间的正交性进一步提高频谱利用率,而且可以抗窄带干扰和抗多经衰落。OFDM通过多个正交的子载波将串行数据并行传输,可以增大码元的宽度,减少单个码元占用的频带,抵抗多径引起的频率选择性衰落,可以有效克服码间串扰,降低系统对均衡技术的要求,是支持未来移动通信,特别是移动多媒体通信的主要技术之一。
1 OFDM基本原理
一个完整的OFDM系统原理如图1所示。OFDM的基本思想是将串行数据,并行地调制在多个正交的子载波上,这样可以降低每个子载波的码元速率,增大码元的符号周期,提高系统的抗衰落和干扰能力,同时由于每个子载波的正交性,大大提高了频谱的利用率,所以非常适合移动场合中的高速传输。

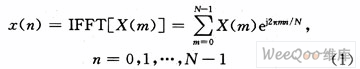
在发送端,输入的高比特流通过调制映射产生调制信号,经过串并转换变成N条并行的低速子数据流,每N个并行数据构成一个OFDM符号。插入导频信号后经快速傅里叶反变换(IFFT)对每个OFDM符号的N个数据进行调制,变成时域信号为:

式中:m为频域上的离散点;n为时域上的离散点;N为载波数目。为了在接收端有效抑制码间干扰(InterSymbol Interference,ISI),通常要在每一时域OFDM符号前加上保护间隔(Guard Interval,GI)。加保护间隔后的信号可表示为式(2),最后信号经并/串变换及D/A转换,由发送天线发送出去。

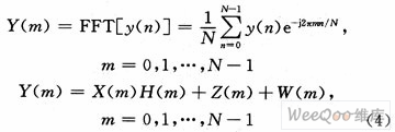
接收端将接收的信号进行处理,完成定时同步和载波同步。经A/D转换,串并转换后的信号可表示为:
yGI(n)=xGI(n)*h(n)+z(n)+w(n)(3)
然后,在除去CP后进行FFT解调,同时进行信道估计(依据插入的导频信号),接着将信道估计值和FFT解调值一同送入检测器进行相干检测,检测出每个子载波上的信息符号,最后通过反映射及信道译码恢复出原始比特流。除去循环前缀(CP)经FFT变换后的信号可表示为:

式中:H(m)为信道h(n)的傅里叶转换;Z(m)为符号间干扰和载波间干扰z(n)的傅里叶变换;W(m)是加性高斯白噪声w(n)的傅里叶变换。
2 OFDM系统实现模型
利用离散反傅里叶变换(IDFT)或快速反傅里叶变换(IFFT)实现的OFDM系统,如图2所示。

从OFDM系统的实现模型可以看出,输入已经过调制的复信号经过串/并变换后,进行IDFT或IFFT和并/串变换,然后插入保护间隔,再经过数/模变换后形成OFDM调制后的信号s(t)。该信号经过信道后,接收到的信号r(t)经过模/数变换,去掉保护间隔,以恢复子载波之间的正交性,再经过串/并变换和DFT或FFT后,恢复出OFDM的调制信号,再经过并/串变换后还原出输入符号。
2.1保护间隔和循环前缀
2.1.1保护间隔(GI)
无线多径信道会使通过它的信号出现多径时延,这种多径时延如果扩展到下一个符号,就会造成符号问串扰,严重影响数字信号的传输质量。采用OFDM技术的最主要原因之一是它可以有效地对抗多径时延扩展。通过把输入的数据流经过串/并变换分配到N个并行的子信道上,使得每个用于去调制子载波的数据符号周期可以扩大为原始数据符号周期的N倍,因此时延扩展与符号周期的比值也同样可降低为1/N。在OFDM系统中,为了最大限度地消除符号间干扰,可以在每个OFDM符号之间插入保护间隔,而且该保护间隔的长度Tg一般要大于无线信道的最大时延扩展,这样一个符号的多径分量就不会对下一个符号造成干扰。
当多径时延小于保护间隔时,可以保证在FFT的运算时间长度内,不会发生信号相位的跳变。因此,OFDM接收机所看到的仅仅是存在某些相位偏移的、多个单纯连续正弦波形的叠加信号,而且这种叠加也不会破坏子载波之间的正交性。然而,如果多径时延超过了保护间隔,则在FFT运算时间长度内可能会出现信号相位的跳变,因此在第一路径信号与第二路径信号的叠加信号内就不再只包括单纯连续正弦波形信号,从而导致子载波之间的正交性有可能遭到破坏,就会产生信道间干扰(ICI),使得各载波之间产生干扰。
2.1.2循环前缀(CP)
为了消除由于多径传播造成的信道间干扰ICI,一种有效方法是将原来宽度为T的OFDM符号进行周期扩展,用扩展信号来填充保护间隔。将保护间隔内(持续时间用Tg表示)的信号称为循环前缀(CyclicPrefix,CP)。在实际系统中,当OFDM符号送入信道之前,首先要加入循环前缀,然后进入信道进行传送。在接收端,首先将接收符号开始的宽度为Tg的部分丢弃,然后将剩余的宽度为T的部分进行傅里叶变换,再进行解调。在OFDM符号内加入循环前缀可以保证在一个FFT周期内,OFDM符号的时延副本内所包含的波形周期个数也是整数,这样,时延小于保护间隔Tg的时延信号就不会在解调过程中产生信道间干扰ICI。
2.2 OFDM基本参数的选择
各种OFDM参数的选择就是需要在多项要求冲突中进行折衷考虑。通常来讲(如前所述),首先要确定三个参数:带宽、比特率以及保护间隔。按照惯例,保护间隔的时间长度应该为应用移动环境信道下时延均方根值的2~4倍。
一旦确定了保护间隔,则OFDM符号周期长度就可以确定。为了最大限度地减少由于插入保护间隔所带来的信噪比损失,希望OFDM符号周期长度要远远大于保护间隔长度。但是符号周期长度又不可能任意大,否则OFDM系统中包括更多的子载波数,从而导致子载波间隔相应减少,系统实现的复杂度增加,而且还加大了系统的峰值平均功率比,同时使系统对频率偏差更加敏感。因此在实际应用中,一般选择符号周期是保护间隔长度的5倍,这样由于插入保护比特所造成的信噪比损耗只有1 dB左右。
在确定了符号周期和保护间隔之后,子载波的数量可以直接利用-3 dB带宽除以子载波间隔(即去掉保护间隔后的符号周期的倒数)得到或者可以利用所要求的比特速率除以每个子信道的比特速率来确定子载波的数量。每个信道中所传输的比特速率可以由调制类型、编码速率和符号速率来确定。
来源:维库开发网
上一篇:浅论无线通信防雷接地工作
下一篇:同运营商两网间路由优化势在必行


