- 易迪拓培训,专注于微波、射频、天线设计工程师的培养
BTS系统中开环和闭环MIMO的应用
多输入多输出(MIMO)是未来有望实现无线数据系统所需高速数据速率的技术之一。多数据流可通过 MIMO进行传输,从而增加了系统的吞吐量。目前,大多数3G和4G无线标准如WiMAX、TD-SCDMA和LTE等都采用了MIMO。
传统方法中,接收机(Rx)和发射机(Tx)不会进行往复通信。Rx需单独计算出信道信息,解码数据流。这给Rx造成了沉重而复杂的负担,也使系统无法完全利用信道的分集或容量。这些系统被称为开环系统。
最新的无线标准是在手机和基站(BTS)之间分配一个有限的反馈信道。这一信道有多种用途,特别是将信道的重要信息发送回BTS。该信息可实现简单的空间分集和复用技术,后者增加了系统的有效信噪比(SNR),并潜在性地简化了Rx架构。这些系统称作闭环系统。
学术文献对理论限制进行了大量研究,却很少涉及电路实现复杂性方面的内容。本文将讲述MIMO开环和闭环技术如何在复杂度和性能之间进行权衡,并提供实际系统的经验法则。
开环MIMO
对于单发射天线或SIMO系统,Rx利用MRC技术整合来自多个接收天线的数据流,以实现分集增益。而多个发射天线的信道更复杂,两个不同的传输流间会出现干扰。如果Tx没有信道信息,Rx单独使用MIMO容量,这通常需要非常复杂的算法。
空间复用
空间复用是一种非常著名的开环MIMO技术,广泛应用于无线系统。每个发射天线送出不同的数据流。

图1:2x2 空间复用系统。
图1是一个2x2的空间复用系统,可以建模为:

其中x代表发射信号向量,H代表信道矩阵,n代表增加的噪声向量,y代表接收信号向量。为了根据接收信号y评估发射信号x,直接的方法就是用迫零(zero forcing)或MMSE等逆信道矩阵乘以y。然而,这并非最佳检测方法。
最理想的检测方法可利用最大似然法(ML)准则。在大多数情况下,发射信号向量最大限度缩短了与接收信号向量y相关的欧几里得距离,因此,可以通过寻找发射信号向量来执行最大似然法。

可惜,计算的复杂性也随着发射天线和可能的星座点的数量呈指数增加,这使最大似然法无法适于实际用途。
球形解码(sphere decoding)虽然不是最理想的ML解决方案,却是一种广泛使用的方法。球形解码算法的原理,是在球半径内搜索离接收信号最近的格点。在球半径内,格点场的每个格点都代表一个码字。球形解码显著降低了检测的复杂性,其性能可与ML检测方法相匹敌。
然而,尽管球形解码算法已经降低了复杂性,却不适于实施大量天线和64QAM等高调制率。
空时码
另一个广泛采用的开环MIMO是空时码。利用空时码,一个数据流可以用多个发射天线传输,但是信号编码利用多个天线中的独立衰落,以实现空间分集。

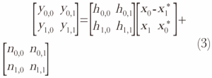
图2:典型的Alamouti码。
目前,最受欢迎的空时码是Alamouti码,已被许多无线标准采用。图2为典型Alamouti码,其数学方程式表述如下:

通过重新整理方程,可以得到:

方程(4)显示,信号x0和x1在两个直角路径中传输。因此,只需简单的线性处理,就可以单独检测和 。
来源:电子工程专辑
上一篇:跨网软切换为WCDMA网络护航
下一篇:干扰广播电视卫星信号的因素与解决方案


