- 易迪拓培训,专注于微波、射频、天线设计工程师的培养
基于C3I系统的短波通信仿真建模
1 引言
短波通信是指利用波长为100~10 m的电磁波进行无线电通信。短波通信多年来被广泛用于政府、军事、气象、商业等领域,用以传送语言、文字、图像、数据等信息。尤其在军事领域,短波通信始终是军事指挥的重要手段之一。如今计算机技术飞速发展,数据库的提出,及仿真技术的应用,使军事指挥自动化进入一个新的阶段。短波战术平台是指挥自动化系统(C3I)的一个子系统,该平台充分利用计算机技术和电子地图数据库,实现遂行通信,保障谋划、仿生拉试预决策、通信作战文书的生成。这里仅对通信仿真建模进行讨论。
2 短波信道的传播损耗模型
短波天波通信是以电离层为媒介传播的,电离层的密度随昼夜、季节、太阳活动周期和经纬度变化而变化,因此传播损耗与时间、季节、经纬度位置、地形等诸多实时变化因素有关。考虑到目前所能计算的损耗,电离层传播损耗可表示为

式中,LP0是自由空间传播损耗,La是电离层吸收损耗,Ln是多跳地面反射损耗,Yp是额外系统损耗。
2.1 自由空间传播损耗
在短波信号传播过程中,由于电波逐渐远离发射点,能量扩散的面积越来越大,从而使得接收点的场强越来越小。在计算该项损耗时,认为地球和电离层均是平面状态,反射是镜面反射,如图1所示,其中r表示天波传播中的射线距离:D是发射点A与接收点B 之间的大圆距离(地球表面距离),收发两端点间的地球中心夹角用a表示。

自由空间传播损耗的计算公式:

式中,R是地球半径,h是电离层高度,△是射线仰角。
(1)求大圆距离D
由电子地图可知发射端A和接收端B的地理经纬度,则大圆距离为:

式中,x1为发射端的地理纬度;y1为发射端的地理经度;x2为接收端的地理纬度;y2为接收端的地理经度。北纬纬度取正值,南纬纬度取负值,(y1-y2)为收发两点间的经度间隔。
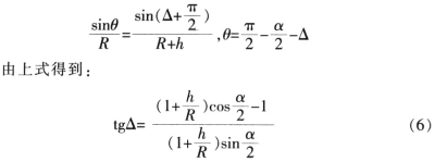
(2)求射线仰角△
由图1可得:

式中,h是电离层高度,其值可由经验值获得。
2.2 电离层吸收损耗
电离层吸收损耗La分为偏移吸收和非偏移吸收,前者指反射区的吸收,后者指电离层D、E区域的吸收。一般偏移吸收损耗极小(≤1 dB),可以忽略。工程中常用以下半经验公式:

式中(以h=100 km为例,下同),θ0是100 km高度处的电波入射角,fH是100 km高度处的平均值,单位为MHz,n是跳数,Ii是吸收系数。Ii的计算公式为:

式中,R12为12个月太阳黑子的流动平均值,xi为穿透吸收区的太阳天顶角平均值。
仿真中采用数学计算和选取典型值的方法模拟。
(1)求电波入射角θ0将h=100 km代人式(6)。
(2)求磁旋频率fH我国经纬度大致范围为北纬:22°~55°,东经75°~135°,查100 km处磁旋频率的世界地图可得FH的取值范围为1.2~1.5 MHz。为计算简便,定义如下:若反射点的纬度位于北纬22°~35°,fH=1.3 MHz;北纬35°~45°,fH=1.4 MHz;北纬45°~55°,fH=1.5 MHz。
(3)求12个月太阳黑子的流动平均值R12 该值无法计算,可查表求得。
(4)求太阳天顶角xi某地某时刻的太阳天顶角是指太阳射线(光线)直射到地球经纬度上,再继续延伸到地心,此延伸线(即太阳直射线)与电台所在地理经纬度到地心的直线之间的夹角。某地的太阳天顶角的大小和该地的地理位置、季节、时间有关。
作者:廖平,朱吉胜,王涛,朱建杨 武警工程学院 来源:国外电子元器件
上一篇:支持M2M应用的无线网络技术及发展
下一篇:有线/无线混合指挥调度通信系统的实现


