- 易迪拓培训,专注于微波、射频、天线设计工程师的培养
低频电磁波感应通信系统的设计与仿真
录入:edatop.com 点击:
低频感应通信是将待传输的数据经低频载波调制、信号放大、功率放大后,在发射器产生一定的交变电流,利用交变的电流产生交变的磁场,交变的磁场产生的电场,从而在接收器中产生感应电动势,经滤波、解调、解码等信号处理后,就可在接收端准确接收发送的信息,完成通信过程。因其利用电磁感应原理来实现通信,故称其为感应通信,当距离短时,感应通信比较容易实现。
1 低频感应通信理论
感应通信利用发射线圈中的交变电流产生变化磁场,接收线圈中感应出电动势后,再经过一系列的信号处理过程恢复发送信号,从而实现了通信的目的。
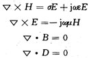
严格的感应通信理论是建立在麦克斯韦方程组的基础上。麦克斯韦方程组是在对宏观电磁现象的实验规律进行分析总结的基础上,经过扩充和推广而得到的。他揭示了电场与磁场之间、电磁场与电荷、电流之间的相互关系,是一切宏观电磁现象所遵循的普遍规律。麦克斯韦方程组的微分形式如下:

无源、无界的线性、均匀、各向同性导电媒质中的麦克斯韦方程组为:

设电磁波在无源、无界的线性、均匀、各向同性的导电媒质中的传播常数为γ=β-jα,α是表示每单位距离电磁波衰减的常数,称为衰减常数,β表示每单位距离电磁波落后的相位,称为相位常数。根据电磁场理论可知:

ε为媒质介电常数,σ为媒质电导率,μ为媒质磁导率,ω为工作角频率。

作者:卢建军,汪跃龙,魏娜 来源:中电网


