- 易迪拓培训,专注于微波、射频、天线设计工程师的培养
GMSK正交调制基带模块的设计
引言
GMSK调制具有较好的功率频谱特性与误码性能,最大优点就是带外辐射小,较适用于工作在VHF和UHF频段的移动通信系统,因此,GMSK调制在通信领域得到了广泛的应用,例如GSM手机通信系统与AIS系统就采用这种通信调制方式。目前,GMSK调制主要有锁相环与正交调制两种实现方式,其中前者在早前得到很大应用,但随着软件无线电的提出,正交调制实现方式逐渐得到广泛的研究与应用。同时,GMSK的硬件实现平台也由DSP发展到FPGA,本文就是针对FPGA平台设计了一种硬件可实现的GMSK正交调制基带模块。
GMSK正交调制基带信号产生原理
GMSK是在MSK的基础上得到的,MSK是连续相位恒包络调制,对载波进行MSK调制的时域表达式如下:

Wc为载波的频率,Tb为数据码元的周期。由上式看出,对输入的二进制码元,MSK调制后的载波在一个码元宽度内相位线性增加或减少π/2 。实验表明,如果载波的相位变化由线性变为更平滑的曲线时,则可以得到更好的频谱特性。因此在MSK调制前,对二进制码元进行高斯滤波,使被调制载波的相位路径更为平滑,然后再进行MSK调制,这就是GMSK调制的基本思想。其载波调制表达式如下:
s(t)=cos[wct+∑ai∫g(t)dt)]
ai为非归零二进制码元,∫g(t)dt表示二进制码元经过高斯滤波后的积分输出。
对上式进行三角变换得到
s(t)=cos(wct)cos[∑ai∫g(t)dt-sin(wct)sin(∑ai∫g(t)dt]
因此采用正交调制实现GMSK的基带I,Q信号分别为
I(t)=cos[∑ai∫g(t)dt]
Q(t)=sin(wct)sin[∑ai∫g(t)dt]
由上面的表达式推导出GMSK正交调制基带信号的实现框图,如图1所示。

高斯滤波器设计
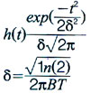
GMSK调制中一个重要的部分就是高斯滤波器的设计,它的脉冲响应为:

上式中,B为滤波器截止频率,T为码元宽度,工程上常用BT来表征高斯滤波器的参数,例如GSM系统中的高斯滤波器BT=0.3。高斯滤波器可以采用FIR算法实现,因为FIR滤波器具有线性相位响应、系统稳定等优点,利用Xilinx的FIR滤波器核即可硬件实现高斯滤波。设定参数BT=0.3,由SystemView计算出滤波器的系数后,其幅值频率响应如图2。对采样频率归一化,可以看到3dB截止点为0.075,通带纹波小于3dB。

积分模块与波形输出设计
码元经过高斯滤波后,接着进行输出积分,相位累加,然后查找表输出对应相位的正、余弦波形。高斯滤波器的输出积分利用梯形积分法,硬件实现时,使用一个加法器和一个延时即可完成。而相位累加与查表输出波形的过程实际上就是DDS(直接数字频率合成),DDS的IP核Xilinx已经提供,因此本文采用DDS模块来代替相位累加与查表模块,简化了硬件代码编写。
作者:成都电子科技大学空天科学技术研究院 汤小平 秦开宇 来源:中电网
上一篇:TD-MBMS组网规划和外场优化
下一篇:几种热门宽带无线接入技术对比与分析


