- 易迪拓培训,专注于微波、射频、天线设计工程师的培养
无线传感器网络的电机运行状态监测系统设计
录入:edatop.com 点击:
在数据包的包头部分中,包含了数据源节点的坐标位置(xs,ys)、数据包种类、现在接收节点的坐标位置(xint,yint)以及现在接收节点的有向虚拟隙θ。
数据包发送过程如图5所示,φ为有向虚拟隙的大小。

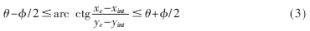
当节点接收到周围节点转发过来的数据包时,该节点会首先检查自己是否在前一转发节点的有向虚拟隙范围内,检查标准如(3)式所示。
其中xc,yc为该节点的坐标,(xint,yint)为前一转发节点坐标,如图6所示。


若不能满足式(3),则丢弃该数据包;若能满足,则该节点会用自己的坐标和有向虚拟隙替换前一节点的坐标和有向虚拟隙,并转发数据包。
作者:秦 镜 姜建国 来源:电子技术应用
上一篇:利用EM软件实现复杂天线系统的仿真
下一篇:移动通信中语音编码质量的评定


