- 易迪拓培训,专注于微波、射频、天线设计工程师的培养
GPS接收机载波跟踪环路设计
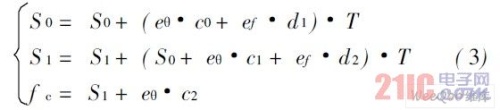
由图2,环路滤波器的表达式为:

根据接收机的使用环境,确定环路滤波器的噪声带宽 Bnf 和B np ,就可以由表2 确定滤波器系数。注意,FLL 向滤波器的系数插入点与PLL 相比要提前一个积分器,这是因为FLL 误差的单位是Hz,而PLL 误差的单位是相位单位。

图2 二阶FLL 辅助三阶PLL 滤波器
5 仿真结果及分析
5. 1 FLL 鉴别器特性
采用预检测积分时间T= 1 ms,在有数据调制的情况下( ±1 跳变/ ms) ,输入频率误差范围为± 400 Hz,对四象限反正切( atan2) 和二象限反正切( atan) 鉴别器进行仿真,结果见图3。由图3 可以看出,atan2 鉴别算法已不能鉴别出真正的频率误差,而atan 可以鉴别的范围达到±250 H z。

图3 有数据调制下的FLL 鉴频特性
5. 2 PLL 鉴别器特性
采用预检测积分时间T= 1 ms,输入相位误差范围为±180°,对表1 的三种相位鉴别器进行仿真,结果见图4。通过图4 可看出,只有二象限反正切( atan) 鉴别器在±90°的范围内保持线性,且斜率与信号幅度无关。

图4 PLL 鉴相特性
5. 3 载波跟踪环仿真及分析
根据5. 1 和5. 2 节的仿真结果,FLL 选择二象限反正切鉴别器,PLL 也选择二象限反正切鉴别器。将鉴别器结果送入图2 所示的环路滤波器,滤波结果送给数控振荡器,形成图1 所示的闭环模式。接收机捕获时采用时域和频域二维搜索算法,根据FLL 鉴别器的频率鉴别范围,设定频率搜索步长为500 Hz。接收机速度为500 m/ s,加速度为10g 时的仿真结果如图5 所示。由图5 可以看出,载波跟踪环路可以快速、准确地跟踪频率的变化,在3~ 4 s 即可达到锁定状态。

图5 跟踪到的频率变化曲线
6 结 语
采用了二阶锁频环辅助三阶锁相环的载波跟踪环路。通过仿真可以看出,选用的鉴别器鉴别范围大,精度高,且对数据跳变不敏感。由鉴别器、环路滤波器和数控振荡器形成闭环回路,在高动态环境下,环路锁定时间短,载波测量精度高,具有一定的实用价值。
来源:国外电子元器件
上一篇:我国号码携带业务访问数据库技术方案的研究
下一篇:TD信令分析关注用户感知


