- 易迪拓培训,专注于微波、射频、天线设计工程师的培养
基于FPGA的线性卷积的实时实现
在数字信号处理领域,离散时间系统的输出响应,可以直接由输入信号与系统单位冲激响应的离散卷积得到。离散卷积在电子通信领域应用广泛,是工程应用的基础。如何快速有效地计算出离散序列的卷积,一直是工程人员所关心的问题。如果直接在时域进行卷积,卷积过程中所必须的大量乘法和加法运算,一定程度地限制了数据处理的实时性,不能满足时效性强的工程应用。本文从实际工程应用出发,使用快速傅里叶变换(FFT)技术,探讨卷积的高速硬件实现方法。
1 卷积算法的原理
设线性时不变系统的冲激响应为h(n),则冲激响应和输入δ(n)之间有关系

假设该系统的输入为x(n),输出为y(n),则根据线性时不变系统的定义,有

根据式(3),线性时不变系统的输出信号可以由输入信号与单位冲激响应的卷积求得。实际应用中,x(n)与y(n)的序列长度均为有限的,假设均为N,显然,求出N点的y(n)需要N2次复数乘法,当序列长度大时,所需计算量是庞大,在需要实时处理的系统中,难以满足实时性要求。
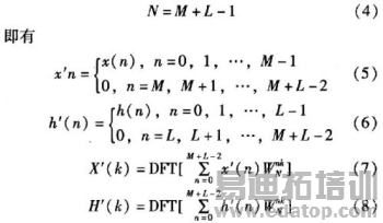
将M点序列x(n),L点序列h(n)分别作扩展,构造新的序列x’(n),h’(n),使得长度N满足如下条件

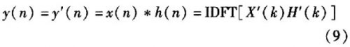
根据时域循环卷积定理,x(n)与h(n)的线性卷积可以用循环卷积来代替。即

根据式(9),给出了一种基于快速傅里叶变换(FFT)的卷积的实现方法,如图1所示。分别对补零后的z(n)和h(n)进行FFT运算,得到对应的频域响应X(k)和H(k),将X(k)和H(k)相乘的结果再做IFFT,即可以得到x(n)和h(n)的卷积结果y(n)。

2 基于FPGA的高速卷积的实现
随着电子技术的发展,现阶段FFT硬件实现的方法主要有ASIC,DSP和FPGA这3类。专用FFT处理芯片ASIC,例如PDSPl6510,这类芯片的主要特点是技术简单。但是由于此类ASIC处理点数有限,实现大点数FFT时,需要多芯片并行工作,会导致所需的配套控制复杂、存储芯片较多,加大了系统实现难度。使用DSP,如TMS320DSP6416,控制程序设计比较简单,但由于DSP的串行式软件工作机理,当点数较大时,处理速度难以满足实时要求。使用FPGA实现FFT功能,其并行处理机制允许FFT运算过程中使用流水线的形式,大大提高处理速度,而且随着技术发展,FFT IP核技术日臻完善,使得基于FFT IP核的系统在速度、灵活性等方面均展现出优越性。本文使用Altera公司的Stratix II系列芯片EP2S60实现线性卷积的功能。
Stratix II是Altera公司生产的一款高性能FPGA器件。它采用台积电的90 nm工艺技术生产,等效逻辑单元(LE)最高可达180 kB,嵌入式存储器容量最高可达9 MB。该器件不但具有较高的性能和密度,而且还针对器件总功率进行了优化,同时可以支持高达l Gb/s的高速差分I/O信号,因而是一款高性能的FPGA。该芯片中所含的高性能嵌入式DSP块的运行频率高达370 MHz。另外Stratix II还有12个可编程PLL,并具有完善的时钟管理和频率合成能力,能满足高性能系统的需求。
EP2S60集成了60 440个等效逻辑单元(LES),内嵌M512 RAM模块329个,M4K RAM模块255个,M-RAM模块2个,总存储单元2 544 192 bit,并集成了DSP模块36个、18 bit×18 bit嵌入式硬件乘法器144个,含有2个增强性锁相环和8个快速锁相环,可满足本系统的要求。
3 FFT IP核的实现方法
为了节省开发时间,加速产品的投放,本文使用Ahera提供的FFT IP核来实现FFT和IFFT功能。Ahera FFT IP核函数是一个高性能、参数化的快速傅里叶变换(FFT)处理器,完全支持Ahera的FPGA系列。可以完成变换长度为2m(6≤m≤14)的基2、基4按照频率抽选的高性能复数FFT以及逆FFT运算。
FFT IP核支持3种数据流模式,流模式(streaming)、缓冲突发模式(Buffered Burst)、突发(Burst)模式。并可以参数化设置变换点数和FFT或IFFT转换方向。表l给出了FFT在Stratix II系列FPGA上使用流模式(Streaming)的性能。

来源:电子科技


