- 易迪拓培训,专注于微波、射频、天线设计工程师的培养
RS通信编码器的优化设计及FPGA实现
引言
Reed-Solomon码首先是由Reed和Solomon两人于1960年提出来的,简称为RS码。这是一类具有很强纠错能力的多进制BCH码,既能纠正随机错误,也能纠正突发错误,也是一类典型的代数几何码。RS码一直以来都是国际通信领域研究的热点之一。
本文以战术军用通信系统的首选码RS(31,15)码为例,对生成多项式进行了优化,并采用查表法的原理极大地提高了编码器运算数据的能力,缩短了运算周期,最终利用VHDL语言编译,在FPGA中实现,得到了正确的RS编译码。
1 RS编码原理
能纠正t个错误的RS(n,k)码具有如下特性:
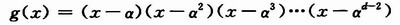
码长:n=2m-1符号或m(2m-1)比特;信息码元数:k=n-2t符号或mk比特;监督码元数:n-k=2t符号或m(n-k)比特;最小距离:d=2t+1=n-k-1符号或m(n-k+1)比特;最小距离为d的本原RS码的生成多项式一般为:

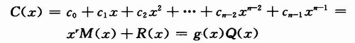
令信息元多项式为:

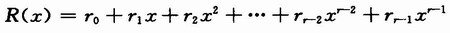
监督多项式为:

则码多项式为:

式中:Q(x)是g(x)整除C(x)所得的商式。所有这些原理都与二进制循环码一样,不同的仅在于运算方法。对于二进制码,码多项式各项系数只能取0或1,多项式的加减乘除是模二运算,是定义在GF(2)域上的多项式。现在码多项式各项系数可以取q=2m种不同的值,应当是定义在GF(2m)域上的多项式。
2 生成多项式的优化
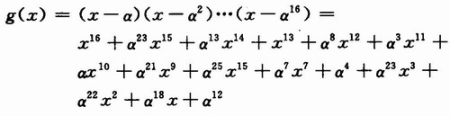
以RS(31,15)为例,n=31,k=15,可纠正错误数为t=(n-k)/2=8;以
为本原多项式,可得到GF(25)上的元素如表1所示。
一般的生成多项式为:

则码字多项式以为零点。
由于注意到:


作者:陈 晨 徐 伟 金 光 来源:现代电子技术
上一篇:基于EEMD的信号处理方法分析和实现
下一篇:基于DSP的语音降噪系统设计


