- 易迪拓培训,专注于微波、射频、天线设计工程师的培养
并行流水结构的RS255/RS233译码器设计实现
录入:edatop.com 点击:
式(6)中,R255=0;i=1,2,…,2t-1,2t。其电路结构如图2所示。

2.2 关键方程求解
本设计中关键方程的求解采用ME算法。BM算法具有反馈结构,不适合使用流水结构,而ME算法可采用流水结构。其算法描述如下:

其中,S(x)为输入的伴随多项式。
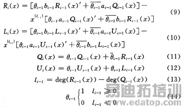
ME算法为1种迭代算法,目的在于求i阶余式Ri(x),相应的多项式ri(x)与Li(x)满足:
ri(x)A(x)+Li(x)S(x)=Ri(x)(8)
当i阶余式Ri(x)的阶数小于t时,迭代算法结束。算法结束时的Ri(x)即为错误特征多项式ω(x),而Li(x) 即为所求的错误位置多项式δ(x)。
ME算法在每一次迭代时进行的运算为:

具体推导请见参考文献[8-9]。
单级迭代电路结构如图3所示。

由ME算法推导可知,使用脉动电路结构实现ME算法时,至多使用2级迭代电路即可降低R(x)多项式阶数1阶。因此,脉动电路结构采用32阶流水结构电路即可保证迭代算法完成收敛得到最后结果。电路结构如图4(略)所示。
2.3 钱搜索和Forney算法
钱搜索模块接收KES模块的错误位置多项式信号δ(x),利用钱搜索算法逐个检查符号位是否发生错误,输出错误位置和错误位置多项式的奇数项之和,供EE模块计算错误图案和纠错。
设错误位置多项式δ(x)可以表达为奇数项和偶数项之和:

来源:单片机与嵌入式系统应用
上一篇:实现拆分大组合逻辑的方法
下一篇:如何在ATM网络支持IP


