- 易迪拓培训,专注于微波、射频、天线设计工程师的培养
混频器设计中的关键技术研究
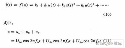
2.4.3 交调失真
假设混频器的伏安特性为:


2.4.4 互调失真
当两个频率为fM1和fM2的干扰信号加到混频器输入端与本振信号作用,产生出的干扰信号满足下式:

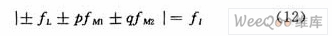
时,引起混频器输出中频信号失真,这种失真称为互调失真。显然p和q数值越小,产生的中频干扰就越大,互调失真就越大。当p和q比较小时(p=1,q=或p=2,q=1)产生的组合频率有可能接近于fI。也就是满足:

这时的干扰最严重,且很难用滤波器滤除。由这种干扰引起的失真也常被称为三阶互调失真。相对交调失真和其他非线性失真而言,三阶互调失真危害最为严重。在混频器的使用中,常常将其对应的最大输入干扰强度作为动态范围的上限,利用三阶互调截点电平PIM3表示三阶互调干扰的大小。PIM3比1 dB压缩电平P1 dB高出10~15 dB,根据混频器生产厂家使用说明中提供1 dB压缩电平,就可方便地确定三阶互调截点电平,以满足设计指标的要求。混频器设计中,应尽量避免混频器正常输出中频信号电平与三阶截点电平距离太近,而是要使两者之差留有一定余量。
2.5正确选用混频器 混频器一般可以分为三极管混频器、场效应管混频器、模拟乘法器构成的混频器以及基于混频二极管非线性元件构成的混频器。每种混频器都有各自的适用场合。
三极管混频器具有所需外围元件少、结构简单、具有一定的混频增益、价格便宜的优点,常用在如广播收音机等要求不高的场合。缺点是工作频率较低,混频失真较大,产生的组合频率干扰较大。
场效应管混频器,特别是双栅场效应管混频器,和三极管混频器相比较,具有混频失真小、动态范围大、工作频率可以高达1 GHz的优点。这种混频器除了具有较低的噪声系数之外,同时还具有变频增益,另外可以保证本振和信号端口的良好隔离度,且可以容易实现这两个端口的匹配,同时还可以省掉耦合元件。
模拟乘法器采用差分对作为基本电路,理论上输出中频只有两种频率,即和频fI=fL+fS和差频fI=fL-fS,因此其组合频率的干扰极小,特别是交调互调干扰小,对滤波器的外围电路要求不高,电路比较简单。同时变频增益较高,且对输入的信号幅度要求不严格,既可以大信号工作,也可以小信号工作,因此动态范围大。这类混频器的缺点是噪声系数往往较大,工作频率不高,最高一般为几十兆赫兹,常常用于接收机的第二混频器。
采用二极管的混频器可以分为两大类:单端混频器和平衡混频器。单端混频器和平衡混频器的缺点是存在一定的变频损耗。单端混频器结构简单,工作的带宽较窄,往往需要较大的本振功率,且不能消除本振噪声,这种混频器目前已很少采用。平衡混频器工作带宽可以从几十千赫兹到几十千兆赫兹,动态范围较大,混频失真小(信号的偶次谐波被抵消,特别是二次谐波,所以等大大地降低输出组合频率的干扰)。同时,这种混频器很容易匹配,各个端口具有较高的隔离度(每个倍频程下降为5 dB)。此外平衡混频器的一个重要优点是可以抑制本振噪声,改善混频器的噪声性能,因此平衡混频器得到了广泛的应用。在选用平衡混频器时,应注意在满足需要的前题下,尽量选用本振电平低的平衡混频器,一方面是价格便宜,另外可以保证本振信号泄露很小,同时应保证本振电平比信号电平大10 dB左右。
3降低滤波器的设计难度
由前面分析可知,由于混频器非线性作用的结果,产生出大量的组合频率分量,这些频率分量中除了正常输出的中频信号频率外,往往还包括位于中频带宽范围附近的组合频率分量。如果这些不需要的组合频率距离中频带宽很近的话,则带通滤波器很难将其滤除,或者即使能够滤除也会由于对滤波器的带外抑制度要求太高而使滤波器的设计难度以及成本大大增加。因此,在设计混频器的时候,必须对混频过程中产生的组合频率分量进行充分地分析。为此,要选择合适的本振频率和信号频率,以使无用的组合频率分量,特别是低阶组合频率分量尽量远离带通滤波器的通带。
4结 语
设计混频器时,必须综合考虑各种因素对混频器性能的影响。除了前面提到的几个要求之外,设计中还必须确定混频器的封装形式、工作频率、价格等其他因素.
来源:维库开发网

