- 易迪拓培训,专注于微波、射频、天线设计工程师的培养
决策概率的接入网选择
在异构的无线网络系统中,使用多模或变模终端的用户更倾向于选择最合适的接入技术来承载业务。但如何在众多无线接人技术中选择一个最合适的接入技术是一个有待研究的问题。现有文献提出的相关解决方法,如随机选择算法、高带宽优先选择算法、基于模糊逻辑的算法以及基于层次分析法和灰度关联法等,都忽略了用户对网络所提供业务质量的满意度。此外,实际中的用户将考虑服务质量和价格双方面因素。基于上述原因,在综合考虑用户对服务质量满意度、价格、相对链路质量等因素的基础上提出了决策概率的概念。决策概率从数学上描述了用户愿意选择某网络的程度。
1 决策概率
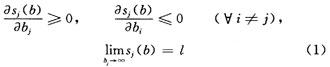
为了能用数学方法描述用户对无线网络提供的QoS的满意程度,首先引入满意度函数概念。用函数S(6)表示用户的满意度,他实际上是将服务质量相关的参数映射到实数域。在一个由M个异构无线网络组成的系统中,用向量b=(b1,…,bM)表示这M个网络为用户提供服务的QoS参数。因此,若用户使用不同网络的服务,将会有不同的QoS体验,而这种不同的QoS体验则会对应不同QoS满意度。不失一般性地,以网络j为例,用户对该网络提供的服务的满意度应满足下列条件:

其中l是正的常数。上式中的最后一个条件反映了QoS参数超出一定范围后,用户对QoS参数的提升将不再敏感,进而用户不会再因为网络服务质量的提升而增加其满意度。
在本文中,服务质量以网络接入带宽为例,但所提出的满意度概念可广泛应用于网络所提供的其他QoS参数,而不仅限于接入带宽。
事实上,用户的满意度行为与用户所使用的业务类型有关。对最简单的业务,如话音业务,一般认为用户满意度只有两个值,分别是完全满意和完全不满意。而对于下一代基于分组的多媒体业务而言,这种仅考虑两个离散值的满意度将不再适用。出于对这类业务的考虑,采用连续函数对用户满意度进行建模。
作者:陈 杰,余 凯,张平 来源:中电网
上一篇:多业务接入平台技术介绍
下一篇:光纤接入网技术综述及优劣分析


