- 易迪拓培训,专注于微波、射频、天线设计工程师的培养
Exporting multiple independent variable data in ADS via DAC in .mdf format
录入:edatop.com 点击:
Hi,
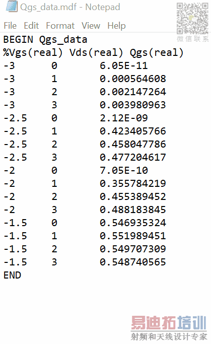
I am trying to import 2 independent variable (Vgs, Vds) and 1 dependent variable (Qgs) in ADS using DAC in .mdf format.
I want to use spline interpolation here, but the data is not being imported properly.
Am I preparing the .mdf file properly? Is there any order that I should maintain for the independent variable?s I saw something about innermost or outermost variable about the cubic spline interpolation, but did not understand the definitions.
Any help would be much appreciated.
Thanks,
Shahadat
I am trying to import 2 independent variable (Vgs, Vds) and 1 dependent variable (Qgs) in ADS using DAC in .mdf format.
I want to use spline interpolation here, but the data is not being imported properly.

Am I preparing the .mdf file properly? Is there any order that I should maintain for the independent variable?s I saw something about innermost or outermost variable about the cubic spline interpolation, but did not understand the definitions.
Any help would be much appreciated.
Thanks,
Shahadat
申明:网友回复良莠不齐,仅供参考。如需专业帮助,请学习易迪拓培训专家讲授的ADS视频培训课程。
上一篇:Half wave rectifier design ADS
下一篇:Question about Tantalum Film Resistor in ADS
ADS培训课程推荐详情>>
国内最全面、最专业的Agilent ADS培训课程,可以帮助您从零开始,全面系统学习ADS设计应用【More..】
- Agilent ADS教学培训课程套装
- 两周学会ADS2011、ADS2013视频教程
- ADS2012、ADS2013射频电路设计详解
- ADS高低阻抗线微带滤波器设计培训教程
- ADS混频器仿真分析实例视频培训课程
- ADS Momentum电磁仿真设计视频课程
- ADS射频电路与通信系统设计高级培训
- ADS Layout和电磁仿真设计培训视频
- ADS Workspace and Simulators Training Course
- ADS Circuit Simulation Training Course
- ADS Layout and EM Simulation Training Course
- Agilent ADS 内部原版培训教材合集
