- 易迪拓培训,专注于微波、射频、天线设计工程师的培养
飞秒激光触发光电导天线产生太赫兹波技术
研究了光电导天线产生太赫兹波的辐射特性,利用麦克斯韦方程及其边界条件,计算了近远场的电场强度;采用电磁波时域有限差分方法(FDTD),在Matlab系统软件中,用C语言编写程序计算光电导偶极天线的辐射太赫兹波的空间电磁场分布,并在计算机上以伪彩色图形显示,这种电磁场的可视化结果为天线的设计和改进提供了直观的物理依据。
太赫兹波是指波长范围为3μm~3mm(011~10THz)之间的电磁辐射,其波段位于微波和红外光之间。随着超快激光技术和低尺度半导体技术的发展,使THz电磁波的产生技术,THz辐射机理的研究,THz检测技术和应用技术得到迅速的发展。目前,产生脉冲THz辐射的方法主要有两种:光电导天线产生THz电磁波和光整流产生THz。前者是利用飞秒激光脉冲触发直流偏置下的光电导体,通过相干电流驱动偶极天线产生太赫兹辐射;光整流是一种非线性效应,是用飞秒激光脉冲和非线性介质(LiNbO3,LiTaO3,ZnTe等)相互作用产生低频极化场也可以辐射出THz电磁波。近年来,国内外有不少关于光电导天线产生THz电磁波的文献报道。Darrow等对光电导天线产生太赫兹波的理论进行了详细的解释,并且对砷化镓(GaAs)和磷化铟(InP)作为光电导天线的基质材料产生太赫兹辐射进行了对比。Hattori等研究了大孔径光电导天线产生太赫兹波的时间特性,考虑了半导体载流子寿命和弛豫时间对太赫兹辐射的影响。大孔径光电导天线在强激光脉冲的照射下会产生饱和现象,Darrow等等分别进行了理论模拟,得出了半导体表面的辐射电场对偏置电场的屏蔽效应是产生饱和现象的主要原因。施卫等对半绝缘砷化镓(GaAs)天线产生太赫兹波的辐射特性进行了相关研究。
在国内外研究的基础上,对光电导天线产生太赫兹波的微观机制进行理论分析和计算,用麦克斯韦方程及其边界条件计算了光电导体的表面电流和近远场的辐射电场,通过计算可以看出近场条件下太赫兹波的辐射强度正比于表面电流,远场条件下太赫兹波的辐射强度正比于触发光脉冲的宽度、功率和偏置电场的强度。对于理论分析的结果,采用时域有限差分方法(FDTD)计算了光电导天线的辐射特性。
1光电导偶极天线结构和理论分析
1.1光电导偶极天线结构
半绝缘GaAs材料具有优良的光电性能,是制作光电·材料肖健,等:飞秒激光触发光电导天线产生太赫兹波的研究光电导天线很理想的基底材料GaAs材料的电阻率可以达到10^7~10^8,击穿强度为250kV/cm;文中以半绝缘GaAs材料制成光电导偶极天线的芯片材料为例,介绍了光电导天线的结构和尺寸参数,给出直观的示意图。半绝缘GaAs材料暗态电阻率ρ=5×107Ωcm,载流子的浓度为n≈1014cm-3,载流子的迁移率为μ>5500cm2/(Vs),芯片的厚度为016mm,外形尺寸为610mm×910mm;用电子束蒸渡工艺淀积厚度为900nm的Au/Ge/Ni合金电极(条形天线),经过退火处理与GaAs芯片材料形成欧姆接触,电极尺寸为6mm×3mm,圆角半径为111mm,两电极间隙为3mm;绝缘保护层采用Si3N4薄膜材料,其结构如图1所示。

The picture is from: edatop.com
1.2理论分析
利用GaAs光电导天线产生太赫兹波的理论分析采用“电流源瞬冲模型”。该模型分析认为,光电导体辐射的THz波是光电导体表面的瞬变电流激发产生。根据Maxwell方程,表面电流Js(t)表示为
Js(t)=σs(t)(Eb+Es(t)) (1)
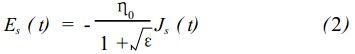
其中,σt为时域表面电导;Eb为偏置电场,Es(t)为光电导体表面辐射电场。由Maxwell方程的边界条件可以得到Js(t)与Es(t)之间的关系式

The picture is from: edatop.com
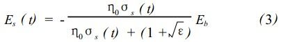
这里η0表示空气的阻抗,其大小为377;ε为光电导体相对介电常数。进而可以得到表面辐射场与偏置电场之间的关系式

The picture is from: edatop.com
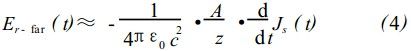
在远场的情况下,假设是沿着光电导体的轴线探测THz波辐射场,此时的THz辐射场可以表示为

The picture is from: edatop.com
其中,A是光电导体电极间隙的光照面积;z表示辐射中心到观察点之间的距离。
根据以上的理论分析可以知,在近场条件下THz波的辐射强度正比于表面瞬态电流;在远场条件下THz电磁波强度决定于触发光脉冲的强度。另外,光电导体的偶极芯片是产生THz的电极,同时又具有发射天线的作用,可以通过设计不同金属天线的形状和结构,提高天线的辐射效率。
2电磁波时域有限差分方法(FDTD)
2.1FDTD方程
时域有限差分法主要思想是把Maxwell方程在空间和时间上离散化,用中心差商的形式代替连续微商,用差分方程代替一阶微分方程,在时间轴上逐步推进求解,以电场为例给出方程

The picture is from: edatop.com
其中,ε0表示真空中的介电常数;μ0表示真空中的磁导率。
对于磁场有类似的形式,只是系数部分会有所不同,将电场公式中的电导率换成磁导率、介电常数换成磁导系数就可以得到磁场的FDTD方程。
2.2吸收边界条件
常用的吸收边界条件包括Mur吸收边界条件和完全匹配层(PML)吸收边界条件,Mur吸收边界条件适用于计算机性能较差和计算精度不高的情况下,PML吸收边界条件对计算机的要求比较高,计算精度较高。文中采用PML吸收边界条件。
PML吸收边界条件是由特殊的各向异性材料组成,完全匹配层为有耗介质,进入PML层的透射波将迅速衰减,它对于入射波有较好的吸收效果。在FDTD边界外部构造一层虚拟的损耗媒质,使得在各个方向上的入射波在边界上的反射很小,甚至为零。1994年Beernger以此思想构造了一种非物理的吸收媒质,与FDTD网格外部边界相连,其波阻抗具有与外向散射波的入射角和频率均无关。以二维TE情况为例,在PML介质中,Beernger为了引入规定损耗的新自由度,将Hz分裂为两个分量Hzx和Hzy,且Hz=Hzx+Hzy。进而将Maxwell方程改写为
σ和σ*分别表示自由空间中的电导率和导磁率。当时σx=σy=σ3x=σ3y,式(6)就退化为自由空间中的Maxwell方程,所以可以认为上式描述了一种普遍的情况,自由空间是其中一个特例。
2.3用Matlab程序计算光电导天线辐射特性
(1)编程中参数的选取。为了保证解的稳定性和收敛性,离散网格边长取Δx=Δy=Δz=δ=λ/12;时间步长取Δt=δ/2c,其中,c为自由空间的光速,以011THz的电磁波为例,x方向取115cm,y,z的取值与x相同;
(2)设置激励源。在计算中采用微分形式的高斯脉冲激励源进行模拟计算Ei(t)=[(t-t0)/τ]exp-[4π(t-t0)2]/τ2,其中,τ为常数,决定了高斯脉冲的宽度;
(3)编写Matlab程序进行计算。用C语言编写计算程序,在Matlab710软件中计算,硬件配置为酷睿单核116GHz,内存1GB,运行时间约为2分20秒,计算结果如图2所示。

The picture is from: edatop.com
用Matlab计算的光电导天线天线的辐射特性图,如图2所示,从图形可以看出天线复变辐射的电磁场分布,可以加深对天线的工作原理的理解,为进一步改进天线的结构提供了物理依据,最终实现提高光电导天线辐射太赫兹波的功率和效率。
3结束语
通过对光电导天线的理论分析与计算,利用FDTD方法对天线的辐射特性进行了分析,通过建模仿真编写Matlab程序进行具体计算,可以直观看到天线的辐射图形。从以上的结果分析可以看出,FDTD方法在电磁场数值计算中是一种比较实用可行的办法。利用Matlab进行仿真运算,可以更加准确形象的理解场的迭代和在边界区域的吸收情况。在应用FDTD方法时需要注意:在编程的过程中,网格的划分具有重要的作用,一定要慎重处理;另外一个重要的因素是对激励源的模拟,选择合适的的激励源形式以及用适当的方法将激励源加入到FDTD迭代计算中。
上一篇:宽频带E型微带天线设计
下一篇:雷达天线方向图自动测试系统设计


