- 易迪拓培训,专注于微波、射频、天线设计工程师的培养
雷达天线方向图自动测试系统设计
0 引 言
天线是雷达的重要组成部分,天线方向图的测试在雷达性能测试中占有极其重要的位置。早期人们采用手动法进行方向图测量,数据的录取、方向图的绘制以及参数的计算都是手工方式,操作复杂,工作量大,耗时长,精度低。随着微电子技术和计算机技术的飞速发展,天线方向图自动测试逐渐取代了手动测量,实现了信号录取、数据处理以及方向图绘制的自动化,大大提高了测量速度和精度。本文介绍了一种雷达天线方向图的自动化测量系统,分析了软硬件结构及原理。
1 方向图自动测试原理及实验配置
根据天线的互易性原理,将被测天线作为接收天线,固定的辐射天线作为发射天线,由发射天线发射电磁波,转动被测天线进行接收,测出被测范围内不同角度处的信号电平,便可得到被测天线的方向图[1]。
方向图的自动测量与手动测量原理相同,不同的是利用电子和计算机技术,实现了数据采集、处理和方向图绘制的自动化。图1是某雷达天线方向图自动测试的实验配置。

The picture is from: edatop.com
方向图的自动测量属于动态测量。测量时被测天线连续转动,并接收信号源通过喇叭天线发射的微波信号。接收信号送天线幅度信号采集电路,经变换放大及 A/D转换后送
给微机。天线转动的同时,天线角度信号录取装置将天线位置转换成角度数字信号送给微机。这样就可以得到测量范围内每一位置的幅度信号电平,根据这组数据,微机就可以进行数据处理并由输出装置输出计算结果。
2 硬件电路设计
系统硬件包括微机控制部分、天线幅度信号录取装置、天线角度信号录取装置和绘图仪。组成框图如图2所示。

The picture is from: edatop.com
2.1 微机控制电路
微机控制电路采用51系列单片机,由CPU、程序存储器、外部数据存储器和地址译码器等组成[2]。
2.2 天线幅度信号录取装置
幅度信号录取装置由测量放大器、采样/保持电路s/H和A/D转换电路组成。
天线接收的微波信号送至测量放大器,对微波信号进行高频检波,输出调制方波信号,然后进行放大、检波、滤波等处理,输出一个幅度满足要求、波形较好的直流信号。该信号经采样S/H后送到A/D,A/D在单片机控制下将模拟信号转换成数字信号,并存入外部数据存储器,从而完成幅度信号的录取。
测量放大器是该系统的信号变换放大电路,有较高的灵敏度、大的动态范围、稳定的工作特性和快的响应速度。
S/H的选取原则是:如果在A/D转换期间输入信号电平的变化小于1个LSB,可以不加S/H;否则,必须加S/H。下式是不加S/H时信号变化率应满足的关系:
The picture is from: edatop.com
式中:
The picture is from: edatop.com
同步机上三相绕组的电压经三相/二相变压器得到两相电压V1和V2:
The picture is from: edatop.com
式中:υm为电压幅值;ω为同步机绕组电压的角频率;θ为天线转过的角度。
V1和V2在正余弦乘法器中分别与cosφ和sinφ相乘(cos φ和sinφ是正余弦函数发生器产生的,φ为计数器的数字量),然后在误差放大器中进行相减、放大得:
The picture is from: edatop.com
式中:k为误差放大器的放大倍数。
该信号经相敏检波后输出误差信号θ-φ,再经积分器积分后控制压控振荡器使θ-φ趋于0,此时可逆计数器输出代表角度θ的数字量。
该轴角编码器可输出12位角度数字信号,具有很高的角度分辨力。从粗同步机上取信号时,最小可分辨角度为:6 000/212=1.46密位。为进一步提高分辨力,从精同步机上取信号,由于粗、精转速比为1:20,最小可分辨角可达到1.46/20=0.073密位。
采集间隔越小,测量精度越高,但最小采集间隔受天线转动速度、A/D转换时间和必要的数据处理时间的限制。本系统采用等角度间隔采集,采集间隔为23×0.073=0.58密位。
3 软件设计
3.1 软件构成及执行流程
系统的软件由信号采集、数据处理和方向图参数计算及绘图3部分组成。
信号采集程序包括幅度信号录取程序和角度信号录取程序,也就是A/D和轴角编码器的启动和数据输出程序。采集的天线幅度信号存入外部数据存储器;由于绘制方向图和参数计算只需角度的变化量,不需要角度的绝对值,因此,角度数字信号不必像天线幅度信号一样存放在存储器中,而是用存储器地址的后几位来代表角度信号,即存放某一位置幅度信号的地址,就包含了该位置的角度信息。这样处理既节省了存储空问,又使数据处理大大简化。
程序执行流程图如图4所示。

The picture is from: edatop.com
测量开始后,单片机根据轴角编码器输出的角度信号判断天线转过的角度是否为△α(相邻两数据点的角度间隔),如果还没有转过△a,等待;如果已转过 △a,CPU发出"启动"A/D的指令,并将A/D转换结果存入外部数据存储器。这样,在单片机控制下,天线每转动△a录取一次天线幅度信号。录取结束后,进行数据校准、滤波处理和参数计算,最后绘制方向图,打印方向图参数。
天线方向图参数包括主瓣宽度、副瓣电平和交叉点电平。由于天线幅度信号采用对数值,因此乘除法运算变成了加减法运算,使编程简化。求解3个参数的关键是求出主瓣最大值点、第1副瓣最大值点和交叉点,找到这些点后再进行简单的加减运算即可求出参数值。下面介绍数据处理程序中的测量放大器校正程序和消" 毛刺"程序。
3.2 测量放大器校正程序
测量放大器是该系统最主要的误差源,是一个近似的对数放大器,为了得到与输人信号对数成正比的输出电压,需对其进行校准。
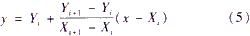
本系统测量放大器的校正法是:用实验方法测出整分贝点校准值对应的测量放大器输出电压值,制成电压-分贝表存人程序存储器,编制查表程序可得到与整分贝点校正值对应的输出电压值,非整分贝点的校正值由线性插值法求出。计算公式为:
The picture is from: edatop.com
式中:i=1,2,…Y为整分贝校正值;X为对应Y的输出电压值;y为位于yi-1与Yi之间的非整分贝校正值;x为对应y的输出电压值。
电压-分贝表可通过下面的实验获得。实验配置如图5所示。

The picture is from: edatop.com
实验步骤如下:
a)按图5连接电路,打开电源,使仪器正常工作。
b)将精密衰减器调至0 dB,调整信号源"衰减"旋钮,使A/D输出接近满量程。
c)增大精密衰减器的衰减量,每变化1 dB读一次A/D输出值,直到输出为0。
d)以分贝值为地址(末几位),在EPROM中固化相对应的A/D输出值。
图6是由绘图仪绘制的测量放大器的校准曲线。实验表明,经校准后,测量放大器产生的误差大大降低,但仍大于0.25 dB,信号较小时误差接近0.5 dB。误差产生的原因是校准时精密衰减器本身有0.1 dB的误差,尤其是校准时的环境(温、湿度等)与测量时不同造成的校准误差影响更大。因此,实际中一般制作多个分贝-电压表,应用于不同的实验环境。

The picture is from: edatop.com
3.3 消除"毛刺"程序
由于电磁环境日趋复杂、恶劣,测试现场存在很多电磁干扰。出现最频繁的是脉冲干扰,在绘出的方向图中表现为一个个小"毛刺"。这些毛刺给数据处理带来很大麻烦,如果不予消除,可能引起测量误差增大、参数计算出错等现象。例如出现在主瓣上的"毛刺"会被误判为副瓣,从而导致副瓣电平的计算出错。
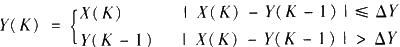
常用的消除"毛刺"方法有限幅滤波法、求算术平均值法、中值滤波法和一阶滞后滤波法等。通过实验验证,限幅滤波法对测量中出现的"毛刺"的滤波效果最好。限幅滤波法是把两次相邻的采样值相减,求出增量绝对值,然后与两次采样允许的最大差值△Y进行比较,如果不大于△Y,则认为本次数据有效,保留该数据;否则,取上点的数值作为本次数据。即
The picture is from: edatop.com
式中:K=1,2,…;X为采集数据;Y为滤波数据。
△Y的选取至关重要,过大和过小其滤波效果都不理想,需通过反复实验获得。
4 结束语
本文介绍了某雷达天线方向图自动测试系统的软硬件原理。用该系统进行实地测量,不计架设和通电准备时间,从信号录取、数据处理到最后绘制方向图、打印计算结果,整个测试过程不超过1.5 min。该系统具有精度高、测量速度高、性能稳定、价格低廉和适应环境能力强等特点,既适用于实验室的测量,又适合在野外工作现场对天线进行在线测量。
上一篇:飞秒激光触发光电导天线产生太赫兹波技术
下一篇:基于纺织纤维的射频识别天线设计


