- 易迪拓培训,专注于微波、射频、天线设计工程师的培养
基于ML4803的两级PFC变换器研究
摘要:两级功率因数校正(PFC) 变换器因其较高的功率因数而广泛应用于功率因数校正场合。近年来,随着PFC/PWM 复合控制芯片的应用,两级功率因数校正技术得到了很大的发展。传统两级PFC 采用后缘/ 后缘调制方法( Trai2ling Edge Modulation / Trailing Edge Modulation ,TEM/ TEM) 。而现今广泛使用前缘/ 后缘调制方法(Leading Edge Mod2ulation / Trailing Edge Modulation ,L EM/ TEM) 可有效减小流经连接前级PFC 和后级DC/ DC 阶段的直直连接电容的电流有效值,但尚未有详细的理论推导。文章在两种调制方法下对流经直直连接电容的电流有效值进行了详细的理论分析,并给出了仿真验证。最后,利用复合控制芯片ML4803 设计了一台具有功率因数校正功能的两级PFC 变换器,对理论仿真分析进行了实验验证。
0 引 言
近年来,随着电力电子设备(非线性设备) 的广泛使用,导致电网电源输入电流含有大量谐波,造成电源品质恶化,电源污染越来越严重。为了抑制谐波及降低电磁污染,功率因数校正(PFC) 技术正成为电力电子技术研究的重要领域。目前,PFC 技术有单级和两级之分,单级PFC 变换器主要应用于中小功率场合,电路结构简单,成本低廉,但PF 值较低。两级PFC 变换器是在整流滤波和DC/ DC 功率级之间串入一个有源PFC 电路作为前置级,具有PF 值高、PFC 级输出电压恒定等优点,适用于中大功率场合的应用。但是两级PFC 结构需要两套控制电路,增加了变换器成本、重量以及复杂度。近年来,随着PFC/ PWM 复合控制芯片的发展,两级PFC 变换器得到了很大的发展。
在两级PFC 变换器中, 连接前级PFC 和后级DC/ DC 的直流连接电容占整个变换器的很大一部分体积,传统两级PFC 常用的后缘/ 后缘调制方法不利于减小直流连接电容的大小。现今广泛使用的前缘/后缘调制方法可有效减小直流连接电容的纹波电流和纹波电压,但是一直未有详细的理论推导。本文在两种调制方法下对直流连接电容的纹波电流进行了详细的理论推导和仿真,证明了前缘/ 后缘方法的有效性。最后,通过使用复合控制芯片ML4803 进行了两级功率因数校正的实验,其前级采用平均电流控制模式的Boost 型PFC 电路,以提高电源的功率因数值;后级采用双管正激PWM 电路,实现DC2DC 变换功能。
1 两级PFC中直流连接电容的分析
在如图1 所示的两级PFC 变换器结构中,前级PFC 属于有源滤波,使输入电流与输入电压波形、相位一致, 提高功率因数, 减小谐波畸变率, 常采用Boost 电路做PFC 电路。后级DC/ DC 起隔离和电压变换的作用。在传统两级PFC 电路中,通常对PFC和DC/ DC 部分各自进行独立控制,现在多将PFC 与DC/ DC 的控制相结合。

图1 两级PFC变换器结构框图
交流220 V 输入时,经前级Boost PFC 电路后,输出电容电压的预设值较高,接近400 V 左右。且为保证功率校正电路的输出电压Uc纹波小,直流连接电容C1 的电容值较大。我们知道,电容的体积与电容值以及耐压值成正比,大体积的电容将导致整个两级PFC变换器体积庞大。因此减小直流连接电容的体积有利于减小整个变换器的体积。
同步即要使前级功率开关管的导通与后级功率开关管的关断同时进行,需在前级PFC 阶段采取前缘调制(L EM) 方法, 后级DC/ DC 阶段采取后缘调制( TEM) 方法。正确的同步前后两级,能有效地减小直流连接电容的纹波电流和纹波电压,进而减小直流连接电容的体积。
图2 (a) 为前缘调制,功率开关管在每个开关的时钟周期开始时关断,当误差放大器电压输出信号与斜坡调制信号相等时,开关管开通,并且一直保持到当前周期结束。图2 (b) 为后缘调制,功率开关管在每个开关周期的时钟周期开始时开通,当误差放大器电压输出信号与斜坡调制信号相等时,开关管关断,直到当前时钟周期结束。

图2 两种调制方法
在两级PFC 的传统控制方案中, PFC 级与DC/DC 级均采用后缘调制,即在时钟开始时同时导通前后两级的功率开关管。此时,当变换器处于前级开关管关断、后级功率开关管也关断状态时,前级PFC 阶段将出现一个瞬间的无负载状态,此时电容纹波电流最大,补偿网络设计困难。
2 两种调制方法下直直电容纹波电流推导
下面在PFC 和DC/ DC 两级均工作在相同开关频率的条件下,对两种调制方法下电容电流有效值的大小进行详细的理论分析。
图3 为设计的两级PFC 电路原理图, 前级为Boost PFC 电路,后级为双管正激DC/ DC 电路。

图3 两级PFC变换器原理图 [p]
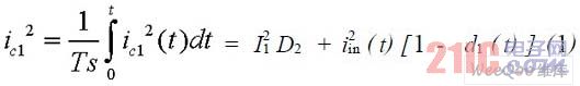
2. 1 TEM/ TEM调制
后缘/ 后缘调制时变换器的工作时序图如图4 所示。在一个开关周期内,电容C1 纹波电流如下:



图4 后缘/ 后缘调制时序图

图5 前缘/ 后缘调制时序图
由式(3) 、(5) 可得:

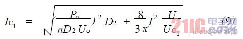
所以电容纹波电流的有效值为:

对于正激电路:

将式(8) 代入式(7) 可得:

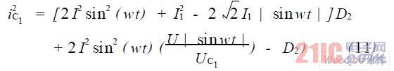
2. 2 LEM/ TEM调制
前缘/ 后缘调制时变换器的工作时序图如图5 所示,在一个开关周期内,电容C1 纹波电流如下:

同样由式(3) 、(5) 可得:

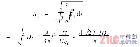
则电容纹波电流的有效值为:

联立式(8) 、(12) 可得:

比较式(7) 、(13) 可知,在L EM/ TEM 调制下的电容纹波电流有效值要小于TEM/ TEM 调制下的电容纹波电流有效值。 [p]
3 仿真与实验结果分析
3. 1 仿真波形与结果分析
为了验证上面直直电容纹波电流有效值公式推导的正确性,在PSIM 仿真环境下搭建了仿真模型,进行了电路仿真。为电路参数选择如下:交流输入电压Uin= 220 V ,L1 = 1 mH , C1 = 220 μF ,L2 = 100 μH ,开关频率f = 50 kHz ,输出功率Po = 240 W。
图6 (a) 是功率因数校正前变换器的输入电流和输入电压波形,图6 (b) 是校正后变换器的输入电流和输入电压波形。由图可以看出校正后,输入电流Iin波形得到很好改善,提高了变换器的功率因数。图7 (a)是后缘/ 后缘调制时电容电流波形和驱动波形,图7(b) 是前缘/ 后缘调制时电容电流波形和驱动波形。
由图中可以看出前缘/ 后缘调制时电容电流的有效值小于后缘/ 后缘调制时的值。

图6 PFC校正前后输入电压和电流波形图

图7 后缘/ 后缘调制、前缘/ 后缘调制时驱动及电容电流波形
3. 2 基于ML4803 的实验波形和结果分析
ML4803 是飞兆公司生产的基于前缘/ 后缘调制方法的PFC/ PWM 复合控制芯片。该芯片有8 个引脚,具有很低的起动和运行电流。本文基于ML4803 设计了两级PFC 电路,根据设计要求确定两级电路设计方案为:前级为平均电流控制的Boost PFC 电路,实现功率因数校正的功能,同时把输入直流电压提升到400V ;后级为双管正激的PWM 电路,把400 V 母线电压降至12 V ,主电路结构如图3 所示。
主要设计参数为: 输入电压Uin = 220 VAC , 50Hz ;输出额定电压Uo = 12 V ; 输出额定电流Io = 20A ;工作频率67 kHz ; C1 = 220 μF ;变压器变比12 :1 ;电感L1 = 1 mH ;L2 = 100μH ;功率因数> 0. 98 。主开关Q1 、Q2 、Q3 : IRF840 ; 整流桥RS507 ; 续流二极管D5 : HFA0 8 TB6 0 ; 续流二极管D8 、D9 : 3 0 CPQ0 6 0 。

图8 输入电压电流和输出电压的波形

图9 开关管驱动波形
由图8 可以看出,经校正后的输入电流波形得到很好的改善,为正弦波,功率因数大大提高,输出电压稳定在12 V。由驱动波形可看出变换器工作在前缘/后缘调制方法。
4 结 论
在两级功率因数校正变换器中,前缘/ 后缘调制方法能有效减少直流连接电容的纹波电流大小,进而减小整个两级变换器的体积。本文对直流连接电容的纹波电流有效值进行了详细的理论推导和仿真验证,并在此基础上设计了一台基于ML4803 具有功率因数校正功能的两级PFC 变换器,对理论分析进行了实验验证。
射频工程师养成培训教程套装,助您快速成为一名优秀射频工程师...

