- 易迪拓培训,专注于微波、射频、天线设计工程师的培养
电源:无输入整流桥的单级PFC变换器
摘要:介绍了一种新的单级功率因数校正拓扑,结构简单,成本低,效率高。采用无桥Boost实现PFC功能同时集成半桥DC/DC变换器。分析了其工作原理并给出了仿真电路图和结果,另外还讨论了降低储能电容电压的方法。
叙词:功率因数校正 无桥Boost DC/DC变换 电源
Abstract:This paper presents a new power factor correction (PFC) method for Bridgeless Boost converter integrating dc/dc converter. The proposed topology has fewer components and improves the efficiency. The paper analyzes the basic principle of the circuit and gives the simulated circuit and results. At last discuss the method of low down the stress of bulk capacitor.
Keyword:PFC Bridgeless Boost DC/DC converter
1 引 言
传统AC/DC变换器由于输入整流桥后面直接接储能大电容,导致变换器输入谐波大,功率因素低,并且对电网造成污染。为了减小对谐波的污染,要求 AC/DC变换器必须进行功率因素校正。比较常用的方法是在变换器中加入一级有源功率因数校正环节,也就是两级变换器。但是两级变换器增加了变换器的成本和复杂度,特别在小功率场合,尤其不适合。为此,提出了单级PFC的概念,也就是将PFC级和DC/DC级集成在一起,共用开关管。随后提出了新型的单级 PFC族受到了广泛的关注,单级PFC的各种拓扑和控制方法纷纷出现。
2 无输入整流桥的单级PFC变换器
PFC级常用的方法是在电网输入后加全桥整流,而工频的整流桥不但体积大而且带来损耗。文献[1]将单相PWM整流器集成到PFC级,省掉了输入整流桥,从而提高效率。图1为PWM整流器的两种拓扑结构。

图1(a)和(b)的工作原理类似,都相当于两个Boost电路,可以在输入交流电压正负半波的时候切换工作。图(b)的优点是两个MOSFET共源极,这样就不用采用隔离驱动,简化设计。而图(a)中隐藏着一个半桥开关管桥臂,文献[2]成功的将图1(a)中PWM整流器应用到电子镇流器中,设计出无输入整流桥的半桥结构单级PFC电子镇流器,并且做出实验结果。
本文在此基础上,将图1(a)中的PWM整流器和对称半桥集成在一起,设计无输入整流桥的单级PFC。

3 工作模态分析
图2所示的单级PFC电路集成PWM整流器和半桥电路,从而省去了输入整流桥。当交流输入Vin处于正半波的时候上管作为PFC级和DC/DC级的集成开关管,当交流输入Vin为负半波的时候,下管为集成开关管。两组boost电路在工频周期里实现PFC,而电感Lpfc上的电流始终保持断续模式,以让其峰值电流自动跟随输入电压。由于后级为半桥dc/dc变换器,两个开关管的占空比都为D, 则后级工作在连续模式时输出电压
这里Vo为输出电压,n=ns/np为次级绕组比初级绕组的比值,如果次级采用平衡绕组,则两个次级绕组和初级绕组的比值为n1=n2=n。VC为储能电容上的电压。
图3为Q1和Q2的控制信号。

以下分析各开关模态的工作状态,在此之前先做一些假设:
1.假设输出滤波电感和变压器励磁电感足够大,其上的电流可认为是恒流。
2.元器件均为理想器件。
a.输入电压为正半波时,Q1占空比为D,Q2占空比也为D:
模态1,图(4-a):此模态中Q1导通,Lpfc上电流上升储能,同时C1通过Q1给变换器次级提供能量。
模态2,图(4-b):此模态中Q1关断,电感Lpfc电流经D1以及Q2的体二极管给C1,C2充电。变压器漏感Lr电流和励磁电流经Q2的体二极管给C2充电。
模态3,图(4-c):此时Q2导通,C2经变压器给次级提供能量。
模态4,图(4-d):此模态中Q2关断,变压器漏感Lr电流和励磁电流经Q1的体二极管给C1充电。

b.输入电压为负半波时,Q1,Q2占空比也为D:
在这半个工频周期内,Q2作为PFC级和DC/DC级的共用开关管。但是其工作原理与正半波的时候完全类似。
4 仿真电路及其波形
本文利用SIMetrix仿真软件对无输入整流桥的单级PFC变换器进行仿真分析。电路参数设置为:输出功率 =50W,输入电压 =200 ,输出电压 =12V,电感 =100µH,开关频率 =100kHZ,输出滤波电容 =400uF, =400uF。采用芯片为uc1825,两路控制信号输出,图5是仿真电路。仿真输出波形与理论分析完全相符。输出电压12V以及电容(C1C2两端)电压,电感Lpfc上电流波形如图6所示,从图中可以看出输入电流跟随输入电压。仿真结果表明上文对基于无输入整流桥的单级PFC变换器的工作分析是正确的,该电路实现了对系统的功率因数校正功能。


5 稳态分析
为保证高的功率因素单级PFC电路的PFC级工作在DCM,而DC/DC级工作在CCM下,要注意电路功率平衡的问题。
当输出功率减小的时候,则前级boost电路占空比会减小,则DC/DC级的占空比也会减小(因为共用开关管),就会导致直流母线上的电压上升从而缩窄脉宽达到新的功率平衡。反之当输出功率增加的时候,则前级boost电路占空比会增加,则DC/DC级的占空比也会增加(因为共用开关管),就会导致直流母线上的电压下降从而达到新的功率平衡。所以轻载下,直流母线电压会达到满载时候的几倍以上,这就限制了单级PFC的实际应用。通常采用的方法是对直流母线采取钳位措施,或者当电压上升到一定的值,让DC/DC级也进入DCM模式。当负载变轻时,占空比必然会减小,因此没有不平衡功率存在,储能电容的电压不会因为负载变轻而增加。但是这种组合存在导通损耗和功率开关电流应力大,效率低的缺点
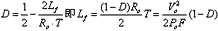
假设开关频率远远高于电网频率。可令:
这里,Vim为输入电压的峰值。如果PFC级占空比为D,开关周期为T,可以得到输入电流的低频平均表达式:
那么输入功率为:
将式(2)和(3)代入式(4),可以的到
这里

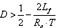
对于DC/DC级,连续模式和断续模式的临界条件
当

的时候将会进入连续模式,此时电压关系式为
当

的时候将会进入不连续模式,此时电压关系式为:
这里

由前面的推导可知通过适当的选择Lf等参数(根据

此式来选择)当负载变轻时使DC/DC级也进入DCM模式。当负载变重时使DC/DC级也进入CCM模式来降低电容电压。
6 结 语
本文介绍了一种新的单级功率因数校正拓扑,由于整流桥和DC/DC变换共用开关管,节省了两个整流管,减小损耗,提高了效率。给出了仿真电路图和结果,另外还讨论降低储能电容电压的方法。
参考文献:
[1] A Power-Factor Controller for single stage PWM Rectifiers IEEE TRANSACTIONS ON INDUSTRIAL ELECTRONICS VOL46
[2] A Single –stage Electronic ballast with High Power Factor IEEE TRANSACTIONS ON INDUSTRIAL ELECTRONICS VOL47
[3] 张占松,蔡宣三, 开关电源原理与设计,第一版,电子工业出版社,1999
[4] 严百平,刘建,不连续导电模式高功率因数开关电源,第一版,科学出版社
射频工程师养成培训教程套装,助您快速成为一名优秀射频工程师...
天线设计工程师培训课程套装,资深专家授课,让天线设计不再难...
上一篇:基于单端正激模型的双向DC-DC变换器研究
下一篇:开关电源滑动模型
形分析方法

