- 易迪拓培训,专注于微波、射频、天线设计工程师的培养
基于LLC隔离的光伏并网逆变器设计方案
0 引言
随着光伏行业的蓬勃发展,光伏并网发电已经成为光伏发电领域研究和发展的最新亮点。光伏并网逆变器作为光伏发电系统的核心,对提高整个光伏发电系统的效率、可靠性、以及整个系统的使用寿命、降低成本至关重要。
传统的光伏并网逆变器按照有无隔离变压器可分为隔离型和非隔离型两大类。非隔离型光伏并网逆变器由于体积小、重量轻、结构简单、造价低,但是由于其跟电网之间没有进行隔离,容易向电网馈入直流分量和谐波,增加系统传导损耗,而且容易发生触电危险,对人构成伤害。隔离型光伏并网逆变器可分为工频隔离型和高频隔离型。由于增加了隔离变压器,系统保证不会向电网馈入直流分量,而且更安全。但是工频变压器成本高、体积大又笨重,所以工频隔离型光伏并网逆变器不利于小型化和广泛使用。高频隔离型光伏并网逆变器虽然解决了前者体积大和笨重的问题,但是增加了系统的复杂性,增加了元器件数量提高了成本,整体效率并不高。
综合以上考虑,本文提出了一种利用LLC谐振电路进行隔离的高频光伏并网逆变器设计方案,将隔离型和非隔离型光伏并网逆变器的优点结合到一起,既减轻了重量、缩小了体积、降低了成本,又提高了电能质量和安全性。而且由于使用LLC谐振电路能够实现DC-DC级功率器件的软开关,可以大大降低功率器件的开关损耗,因此能显着提高整个系统的转换效率和器件的使用寿命。
1 光伏并网逆变器结构及基本原理
1.1 系统设计结构
采用LLC隔离的光伏并网逆变器结构如图1所示,它包括DC-DC 直流升压级和DC-AC 逆变级两级结构,前级负责对太阳能电池阵列传送过来的直流电进行升压和最大功率跟踪,后级负责对前级传送过来的直流电进行逆变,最后经过滤波电路后进行并网。

1.2 工作原理
光伏并网逆变器通过使功率器件有规律的开通、关断来控制电能的传输,功率器件的开通关断采用脉冲宽度调制(PWM)方式来控制。太阳能电池产生的直流电首先送给DC-DC 电路,DC-DC 级执行最大功率点跟踪(MPPT)算法,使太阳能电池始终工作在最大功率点。
经过最大功率点跟踪控制后DC-DC电路将太阳能电池的电能进行升压变成适合DC-AC 级的直流电,然后送到DC-AC级将直流电变换成交流电。控制器对采样电路采取的电网电压或电流相位进行跟踪计算,然后通过调节DC-DC级功率器件开关使逆变器的输出电流与电网电压同频同相,最后通过输出滤波电路或隔离变压器将电能输送到电网。本文DC-DC级输入200~300 V,输出400 V 直流电压,输出功率500 W,满载时功率因数不低于94%.DC-AC级输入直流电压400 V,功率等级600 W,功率因数为1.
2 LLC电路分析
本文采用LLC谐振电路代替工频变压器进行隔离,这是跟传统光伏并网逆变器所不同的地方,也是其优点所在。传统工频隔离变压器体积大、笨重、成本高,采用LLC谐振电路进行隔离可以大大缩小逆变系统的体积,提高效率和功率密度。LLC 谐振电路是在传统的串联谐振电路基础上,将变压器励磁电感Lm 串联在谐振回路中,构成一个LLC谐振电路[4].相比传统的串联谐振电路,由于增加了一个谐振电感,使得电路谐振频率降低,无需使用额外辅助网络就可以实现全负载范围内的开关管零电压开关;其次,变压器副边整流二极管可以有条件的工作在零电压关断,减小了二极管反向恢复所产生的损耗;而且其适合工作在宽的电压输入范围下,输入电压越高,效率越高,在工作点最优时可获得97%的转换效率。
本文采用了一个半桥LLC串联谐振电路,如图2所示。半桥LLC 串联谐振电路包含输入电容C1 、C2 ,MOSFET Q1 、Q2 ,谐振电感Lr ,谐振电容Cr ,变压器T1 ,输出整流二极管D1 ~ D4 和输出电容C3 .
由于增加了一个谐振电感,LLC谐振电路具有两个谐振频率,一个是谐振电感Lr 和谐振电容Cr 的谐振频率fr ,另一个是Lm 加上Lr 与Cr 的谐振频率fm .计算公式如下:

在串联谐振电路中,工作频率fs 高于fr 时才能保证开关管工作在ZVS状态,而在LLC电路中,只要保证fs 高于fm 就能实现开关管的ZVS.下面对它的工作过程进行简单分析。

LLC电路根据开关频率范围可以分为四种模式,本文只讨论fr>fs>fm 模式下的工作原理,一个开关周期内整个工作过程如下所述,工作波形如图3所示,PS1 ,PS2 分别为Q1 ,Q2 的驱动脉冲波形:
[ t0 - t1 ]阶段:t0 时刻谐振电流为负,Q1 体二极管导通,Q1 两端电压钳位在0,此时让Q1 导通为零电压导通。能量从电源正极流向C1 ,C2 中点,Lr ,Cr 谐振,谐振电流ILr经过开关管Q1 并以正弦形式逐渐上升,流过变压器原边的电流IT1为谐振电流ILr与励磁电流ILm之差,变压器原边电压极性上正下负,副边极性也为上正下负,因此D1 、D4 自然导通,变压器原边电压被钳位在nVo(n 为变压器变比),励磁电流线性上升。
[p]
经过半个周期谐165现代电子技术2013年第36卷振时Q1 仍处于导通状态。半个周期之后谐振电流开始减小,励磁电流继续线性上升,t1 时刻谐振电流与励磁电流相等。
[ t1 - t2 ]阶段:t1 时刻谐振电流ILr等于励磁电流ILm,变压器原边电压为0,副边电压也为0,副边整流二极管全部截止,原边不再向副边提供能量,励磁电感Lm开始参与谐振。由于Lm 要比Lr 大很多,LLC谐振周期明显变长,所以谐振电流基本不变。t2 时刻Q1 关断。
[ t2 - t3 ]阶段:t2 时刻Q1 关断,此时Q2 也处于关断状态,电路进入死区时间。谐振电流ILr对Q2 的结电容放电,当它的电压降到0时,体二极管导通,变压器原边绕组极性变为上负下正,副边整流二极管D2 、D3 自然导通,励磁电感Lm 电压被输出电压钳位,不再参与谐振。谐振电流开始以2π LrCr 为周期程正弦规律减小,励磁电流线性减小。t3 时刻Q2 零电压开通。
[ t3 - t4 ]阶段:t3 时刻Q2 零电压开通,与第一阶段类似,Lr 、Cr 谐振,谐振电流以正弦形式减小,励磁电流线性减小。t4 时刻谐振电流等于励磁电流。
[ t4 - t5 ]阶段:t4 时刻开始变压器原边电压为0,副边整流二极管全部截止,原边不再向副边提供能量,励磁电感不再被输出电压钳位,开始参与谐振。LLC谐振电流基本不变。
[ t5 - t6 ]阶段:与[ t2 - t3 ]阶段类似,电路进入死区时间,Q1 、Q2 全部关断,谐振电流ILr对Q1 的结电容充电,当它的电压等于电源电压时,体二极管导通,变压器原边绕组极性上正下负,副边整流二极管D1 、D4 自然导通,励磁电感Lm 电压被输出电压钳位,不再参与谐振。
谐振电流开始以2π LrCr 为周期程正弦规律增大,励磁电流线性增大。t6 时刻Q1 零电压开通,开始进入下一个周期。
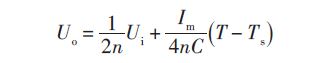
在[ t1 - t2 ]阶段和[ t4 - t5 ]阶段,假设谐振电流不变,设为Im ,则输出电压Uo 可表示为:

式中:Ui 为输入电压;T 为开关周期;Ts 为Lr 和Cr 谐振时的谐振周期。从式中可以看出,当T = Ts 即fr = fs 时这种情况下[ t1 - t2 ]阶段和[ t4 - t5 ]阶段将不存在,谐振电流是纯粹的正弦波,副边整流电路输出电流临界连续,均方根值最小,开关管导通损耗最小,电路效率最高[8].所以,当LLC电路工作在谐振频率时,效率最高。本文中LLC电路的主要作用就是隔离,在保证隔离的基础上要使效率最高,因此本文中使开关管的开关频率等于谐振频率。
3 最大功率点跟踪控制策略
3.1 最大功率跟踪基本原理
太阳能电池是一种非线性直流电源,它的输出受太阳光照条件的和温度等环境影响非常大。在一定太阳照度和一定结温的条件下,当光伏电池的端电压(电流)发生变化时,其工作点也会沿着曲线变化。但是,一定会存在一个点,使得太阳能电池输出的功率最大。这一点就被称为最大功率点,寻找这一最大功率点的技术就被称为最大功率跟踪技术(Maximum Power Point Track-ing,MPPT)。
在常规的线性系统电气设备中,为了获得最大功率需要使负载的电阻等于电源内阻。但太阳能电池是一个非线性电源,它的内阻受环境影响而不断变化,为了进行负载电阻匹配从而获得最大功率,就需要不断调整负载阻值。DC-DC变换器的等效电阻跟开关管的工作状态有关,因此可以通过调节它的占空比来改变它的等效电阻,使它的等效阻值一直等于太阳能电池的内阻,这样就可以使太阳能电池一直工作在最大功率点。
这就是光伏并网逆变器最大功率跟踪的基本原理。
3.2 最大功率跟踪算法
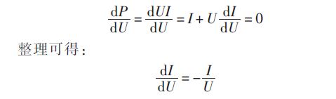
目前常用的最大功率跟踪算法主要有恒定电压跟踪法、扰动观察法、电导增量法等几种,其中电导增量法以优良的跟踪性能倍受青睐。下面简单介绍其工作原理。图4是太阳能电池特性曲线图。由图可以看出,在最大功率点的时候功率曲线斜率为0,即功率P 对电压V 的导数为0,所以有dPdU =0,又因为P=UI,所以:

由上式可知,当输出电导的变化量等于输出电导的负数时,太阳能电池工作在最大功率点。具体实现方法是:通过检测太阳能电池的输出电压和电流,根据上一个采样周期电压和电流的值计算出变化量;然后判断电压的变化量是否为零。若为零,再判断电流的变化量是否为零,若都为零,则表示阻抗一致,则参考电压Vref不变,占空比不变。若电压变化量为零,电流变化量不为零,则表示光照强度有变化,根据电流的变化方向来决定扰动方向。当电压变化量不为零时,判断是否符合上式,若符合,表示在最大功率点。若电导变化量大于负电导值,则表示功率曲线斜率为正,功率点在最大功率点左侧,需要增大Vref ,反之需要减小Vref .

4 结语
本文鉴于传统光伏并网逆变器使用工频变压器进行隔离的不足而提出了一种利用半桥LLC串联谐振电路进行隔离的光伏并网逆变器设计方案,该设计方案通过将传统变压器隔离型光伏并网逆变器和采用LLC 谐振电路隔离的光伏并网逆变器进行对比分析可知,半桥LLC 串联谐振电路能实现开光管的零电压开关,减小开关损耗,从而大大提高逆变器系统的转换效率。而且LLC谐振电路体积小,重量轻,成本低,易于实现小型化和模块化,有助于光伏并网逆变器的广泛推广使用,以此证实了改方案的具有很强的实用性。
射频工程师养成培训教程套装,助您快速成为一名优秀射频工程师...
天线设计工程师培训课程套装,资深专家授课,让天线设计不再难...
上一篇:开关电源原理与设计(连载二十六)双激式变压器开关电源
下一篇:开关电源原理与设计(连载三十二)推挽式开关电源的优缺点

