- 易迪拓培训,专注于微波、射频、天线设计工程师的培养
一种DC-DC芯片内建可测性设计
录入:edatop.com 点击:
在便携式电子和消费电子产品中,对基于电池供电的电源管理的指标要求越来越高,其中高效率和低成本是最主要的两项指标。开关型集成DC-DC转换器由于具有很高的效率使其在很多场合成为首选的电源管理方案。然而,DC-DC的设计变得日益复杂,为了满足不同的应用需要,要求可以在PWM和PFM之间选择工作方式,可以在工作状态和休眠状态之间自动切换;为了提高可靠性,要求具有过电压、过电流和过温等各种保护功能;为了实现低噪声,有些需将LDO线性稳压器集成在内部,有些需增加抗振荡(anti-ring)电路;为了实现更高的精度和输出电压的编程,还会将小规模的EPROM集成在内部。另外,DC-DC的电路规模也越来越大,经常需要设计多个内部电压基准、电流基准和低失调比较器等,而内部的数字逻辑电路和大功率器件又会给其他电路造成各种影响,所有这些都对DC-DC的设计带来严峻的挑战。
为了简化DC-DC的设计过程,满足日益变化的新需求,进行合理的可测性设计就显得越来越重要。一方面,由于电路复杂度的提高,一次投片成功的可能性越来越小,往往存在一个故障分析和调试过程,而这个过程所占的时间越来越长,已成为限制设计进程的一个重要因素。如果可以将电路内部的关键指标进行方便的测量,就可以提供更多的信息帮助分析判断电路故障,调试就会比较容易;另一方面,由于工艺存在的离散性,电路量产时,需要根据电路内部的关键参数确定具体的修正(trimming)方案,以保证足够高的成品率,这也要求对内部参数进行方便的测量。
对于典型的单节锂/锂离子电池供电的BUCK型DC-DC(见图1)来说,通常只有电源(VCC)、地(GND)、开关输出(SW)、反馈(VFB)、使能控制(EN)和模式控制(MODE)六个引脚。为了减小体积通常采用SOT-23-6封装,没有多余的引脚可以专门用来测量内部参数,这给可测性设计带来了困难。针对这种情况,本文中提出了一种引脚复用技术,可以实现芯片内部参数的测量。
基本原理
引脚复用技术多用在数字电路中,一般是指电 路在不同状态或不同时刻时,使芯片引脚代表不同意义的信息,比如分别代表地址信息和数据信息,来实现引脚复用,达到减少引脚或扩展功能的目的。对于典型的DC-DC来说,电源、地、输出、反馈四个引脚的信号均为模拟信号,正常工作中它们出现任何电平都是有意义的,没有多余状态可以利用,而使能控制(EN)和模式控制(MODE)两个引脚为高低电平控制信号,可以将这些引脚电平分为多个电平档段从而使每个引脚电平可以表达多于两个信息的信息量。本文中对使能控制引脚采用这种方法控制芯片进入测试状态,实现对芯片内部各个参数的测量。
图1中,MODE控制芯片工作在PWM模式还是PFM模式,EN引脚作为电路的使能控制,当VEN>115V时,电路处于工作状态,当VEN1是ESD保护部分,防止器件在储运和焊接过程中的高压静电损坏芯片。MP为一沟道长度远大于沟道宽度(LmW)的PMOS,作为MN的负载,起到一个大电阻的作用。INV1和INV2为两个反相器,缓冲驱动正反相的使能信号ENABLE和SHUT去控制其他电路。可以看出,电路工作时,VEN必须小于VCC+VD1,否则D1会导通,大电流会通过D1由EN流向VCC,时间长了会导致芯片损坏。在实际应用中,要求VEN的最高电平不能超过VCC+0.3V,通常EN的高电平直接采用VCC电平。本文中提出的方法,就是利用VEN在VCC到VCC+VD1之间的电压范围实现额外的功能,当芯片内部电路检测到VEN>VCC+0.3V时控制芯片进入测试状态,而正常工作时由于VENCC+0.3V而不受任何影响。

图1BUCK型DC-DC典型应用电路

图2使能控制和测试状态检测电路
电路实现
为了完成芯片内部参数的测试,需要在芯片内部添加一定的测试电路,它需要完成的功能有:进入和退出测试状态的控制;测试序列的生成;测试结果的输出以及合适的外围控制电路等,下面分别介绍各种功能实现。
测试状态的检测
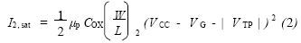
电路测试时,首先要退出正常工作状态而进入测试状态,图2下半部分的电路为进入测试状态的检测电路,M3和M4为2∶1的电流源,当它们工作在饱和区时,电流分别为I3=2I,I4=I(式中In指Mn的电流,以下类同),I由偏置信号BIAS1决定,M1和M2共栅,其栅极电压VG为:
如果M2工作在饱和区,则其电流为:

(1)式代入(2)式,考虑到(W/L)2=2(W/L)1可得:
当VEN≤VCC时,
I 2,sat>4I=4I4 (4)
所以M2不会工作在饱和区,而是进入深线性区,A点被抬升为高电平,即
VA≈VCC (5)
M5截止,I5=0,M7截止,输出TCK为低电平。当VEN>VCC且逐渐升高时,VG电平逐渐升高,M2逐渐由线性区进入饱和区,M1~M5构成了一个负反馈电路,在平衡状态时,M2和M4均处于饱和区 且电流相等,由此可以得到M5中的电流为:

当

,即当VEN满足(7)式时,TCK输出高电平,控制进入测试状态。

设计中VEN的选取既要保证VENCC+VD1,防止ESD二极管D1(见图2)导通,又要保证一定的噪声容限,防止EN接VCC正常工作时噪声引起两者的差别使电路进入测试状态,一般可选取(VEN-VCC)等于0.3~0.4V,由(7)式可知,可以通过调整R2达到设计要求。
测试序列的产生
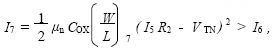
由于需要测试的参数往往比较多,所以整个测试过程需要分为若干个测试阶段进行,可以应用计数器和译码器产生测试序列,以便在不同的阶段测试不同的参数。图3为一个简单的测试序列产生电路,运用两个T触发器组成的4进制计数器和4个与非门产生共4个测试阶段T1~T4。当TCK为低电平时,电路处于正常工作状态或关断状态(由SHUT决定),当TCK第一次为高电平时,T1为高电平,进入第一个测试阶段,通过一定的控制电路测试一部分数据;当TCK第二次为高电平时,T2为高电平,进入第二个测试阶段,测试另外一些数据,依次类推,可以根据测试参数的需要增加或减少测试阶段。图3中SHUT为计数器清零控制信号,可以使计数器回到起始状态。测试的控制电路在下一小节中介绍。

图3测试序列内建产生电路及其时序图
内部信号的输出
DC-DC中需要测量的电参数主要有模拟电压信号、数字电压信号、电流信号和其他特殊参数,它们需要输出到外引脚上才可以进行测量,输出的方法分别如下。
(1)模拟电压信号的输出
DC-DC有些关键的电压信号需要测量,比如基准电压、过压关断的门限电压、欠压关断的门限电压等,这些电压节点的驱动能力往往比较小,直接测量可能造成较大的误差或内部稳定性问题。为此,可以考虑采用一个运算放大器对需要测量的电压节点进行电压跟随输出,然后进行测量。DC-DC中的误差放大器EA(见图4)是一个增益很大、反相输入端接外引脚VFB的运算放大器,可以用来作为电压跟随器。实际上可以通过一个切换电路K2将需要测试的电压信号接到EA的同相输入端,而用一个开关K1将EA的反相输入端和输出端相连,就构成了电压跟随器,需要测试的信号就可以从VFB输出。在下面的实例中,基准电压就是通过这种方式测量的。

图4具有内建测试电路的DC-DC框图
(2)数字电压信号的输出
对振荡器的输出等数字信号进行测量时,同样存在驱动能力不足的问题,采用一个由小到大的多级非门可以组成比较理想的缓冲电路。可以通过类似的切换电路(见图4中K3)将需要测试的信号接到缓冲电路的输入端,再通过K4从SW输出,这时需要将DC-DC的主开关管和整流开关管关断。对于有些占空比过小或过大的数字信号,测频率时可以通过T触发器进行二分频得到50%占空比的方波信号输出,以方便测量。图4给出了BUCK同步整流DC-DC的典型框图,示意性的给出了模拟电压信号和数字电压信号的输出方法。
(3)电流信号的输出
芯片内部的电流信号经常是μA级的,测量时可以通过一个1∶10的电流镜将需要测量的电流信号放大,再从SW输出进行测量。通过切换电路可以决定需要测量的电流。
(4)其他参数的测量
DC-DC中,还经常测量其他一些参数或需要验证一些功能状态是否正常。比如需要测量开关管的导通电阻,需要测量过电压、过电流等的门限,这时需要从一个引脚接入一个激励信号,然后从本引脚或其他引脚测试输出信号。
开关导通电阻是影响DC-DC效率的一个重要因素,设计中需要对其进行检测。图4中,主开关导通电阻等于主通路MP和采样通路RS,MS相并联的电阻,测试主开关导通电阻时(见图5(a)),可以控制主开关管MP和采样开关管MS处于导通状态,同步整流开关管MN处于关断状态,在SW和GND之间接一个合适的电阻和电流表,根据VCC与SW之间的电压差和电阻的电流值就可以得到MP的导通电阻。测量同步整流开关管MN电阻时(见图5(b)),控制MP和MS关断,MN导通,由于整流管MN正常导通时,电流方向从GND到SW,所以需要像图5(b)那样加电源和电阻,同样可以通过电压表和电流表的读数得到MN的导通电阻。DC-DC中有多个比较器,比如过压比较器、过流比较器等,这些比较器的翻转门限需要设置合适测量时,通过切换电路控制比较器的输入接VFB,比较结果从SW输出。这样可以从VFB接入可调节的信号,观察SW的电平变化测得比较器门限。另外,运算放大器的测试也很重要,可以参阅文献。

图5导通电阻的测量(a)主开关管;(b)同步整流开关管
外围控制电路
在测试过程中,需要给EN引脚加一个高电平为VCC+0.3V,低电平介于1.5V和VCC+0.3V之间的可切换的信号。为了准确控制时序,要求该控制信号在跳变过程中不能抖动,而且要求在VCC调整时,EN和VCC的电压差不发生变化,以便保持状态。图6是实现这种目的的一个简单电路,图6中V1为主电源,芯片由VCC供电,V2为一个固定的0.3V的电源,D1为一个二极管。由U1和U2组成的RS触发器的电源由V2的正端提供。当按下AN1时,由于R3电流和压降很小,EN电平近似为VCC-VD1,芯片处于正常工作状态,当按下AN2时,由于R4≥R3≥R ON(M1) ,(R ON(M1) )为M1的导通电阻),EN电平近似为VCC+0.3V,芯片处于测试状态,由于RS触发器的锁定作用,电平在跳变时不会抖动。当按下AN3时,EN电平为0,芯片关断,计数器清零。R3在AN3按下时起到限流作用,R4的作用是防止U1输出高电平(VCC+0.3V)时M1的泄漏电流抬高EN电平。

图6外围测试控制电路
试验结果
在一款BUCK型DC-DC的设计中,采用了以上的可测性设计方法,内部的测试电路成功地实现了片内电压基准、振荡频率、电流门限、过压关断门限、导通电阻等重要指标的测量,极大地方便了设计过程中的故障推断。而且这种测量可以在硅圆片上直接进行,不需要搭建应用电路,可以根据测试结果通过预留的熔断丝(fuse)进行调节,大大地提高了测试效率和芯片成品率,并且在测试中发现内建测试电路对芯片的正常工作没有任何影响,测试的精度可以满足一般DC-DC设计的要求。这款DC-DC的输入电压为2.5~5.5V,输出电流为300mA,效率达到94%,芯片可以稳定地工作在连续模式和非连续模式。设计采用0.5μm的CMOS工艺,芯片面积1mm×1mm,内建测试电路仅占总面积的0.4%,图7为该芯片的实物照片。

图7具有内建测试电路的DC-DC照片
结论
文中提出一种DC-DC的内建可测性设计方法,利用引脚复用技术控制芯片进入测试状态,可以利用芯片仅有的6只引脚对其内部的重要参数进行测量,大大方便了设计阶段的故障分析过程。这种方法用于一种DC-DC的电路设计,占用面积很小,但可完成十多种片内参数的测量,这种可测性设计方法也可以用于其他数模混合电路中。
为了简化DC-DC的设计过程,满足日益变化的新需求,进行合理的可测性设计就显得越来越重要。一方面,由于电路复杂度的提高,一次投片成功的可能性越来越小,往往存在一个故障分析和调试过程,而这个过程所占的时间越来越长,已成为限制设计进程的一个重要因素。如果可以将电路内部的关键指标进行方便的测量,就可以提供更多的信息帮助分析判断电路故障,调试就会比较容易;另一方面,由于工艺存在的离散性,电路量产时,需要根据电路内部的关键参数确定具体的修正(trimming)方案,以保证足够高的成品率,这也要求对内部参数进行方便的测量。
对于典型的单节锂/锂离子电池供电的BUCK型DC-DC(见图1)来说,通常只有电源(VCC)、地(GND)、开关输出(SW)、反馈(VFB)、使能控制(EN)和模式控制(MODE)六个引脚。为了减小体积通常采用SOT-23-6封装,没有多余的引脚可以专门用来测量内部参数,这给可测性设计带来了困难。针对这种情况,本文中提出了一种引脚复用技术,可以实现芯片内部参数的测量。
基本原理
引脚复用技术多用在数字电路中,一般是指电 路在不同状态或不同时刻时,使芯片引脚代表不同意义的信息,比如分别代表地址信息和数据信息,来实现引脚复用,达到减少引脚或扩展功能的目的。对于典型的DC-DC来说,电源、地、输出、反馈四个引脚的信号均为模拟信号,正常工作中它们出现任何电平都是有意义的,没有多余状态可以利用,而使能控制(EN)和模式控制(MODE)两个引脚为高低电平控制信号,可以将这些引脚电平分为多个电平档段从而使每个引脚电平可以表达多于两个信息的信息量。本文中对使能控制引脚采用这种方法控制芯片进入测试状态,实现对芯片内部各个参数的测量。
图1中,MODE控制芯片工作在PWM模式还是PFM模式,EN引脚作为电路的使能控制,当VEN>115V时,电路处于工作状态,当VEN1是ESD保护部分,防止器件在储运和焊接过程中的高压静电损坏芯片。MP为一沟道长度远大于沟道宽度(LmW)的PMOS,作为MN的负载,起到一个大电阻的作用。INV1和INV2为两个反相器,缓冲驱动正反相的使能信号ENABLE和SHUT去控制其他电路。可以看出,电路工作时,VEN必须小于VCC+VD1,否则D1会导通,大电流会通过D1由EN流向VCC,时间长了会导致芯片损坏。在实际应用中,要求VEN的最高电平不能超过VCC+0.3V,通常EN的高电平直接采用VCC电平。本文中提出的方法,就是利用VEN在VCC到VCC+VD1之间的电压范围实现额外的功能,当芯片内部电路检测到VEN>VCC+0.3V时控制芯片进入测试状态,而正常工作时由于VENCC+0.3V而不受任何影响。

图1BUCK型DC-DC典型应用电路

图2使能控制和测试状态检测电路
电路实现
为了完成芯片内部参数的测试,需要在芯片内部添加一定的测试电路,它需要完成的功能有:进入和退出测试状态的控制;测试序列的生成;测试结果的输出以及合适的外围控制电路等,下面分别介绍各种功能实现。
测试状态的检测
电路测试时,首先要退出正常工作状态而进入测试状态,图2下半部分的电路为进入测试状态的检测电路,M3和M4为2∶1的电流源,当它们工作在饱和区时,电流分别为I3=2I,I4=I(式中In指Mn的电流,以下类同),I由偏置信号BIAS1决定,M1和M2共栅,其栅极电压VG为:
如果M2工作在饱和区,则其电流为:

(1)式代入(2)式,考虑到(W/L)2=2(W/L)1可得:
当VEN≤VCC时,
I 2,sat>4I=4I4 (4)
所以M2不会工作在饱和区,而是进入深线性区,A点被抬升为高电平,即
VA≈VCC (5)
M5截止,I5=0,M7截止,输出TCK为低电平。当VEN>VCC且逐渐升高时,VG电平逐渐升高,M2逐渐由线性区进入饱和区,M1~M5构成了一个负反馈电路,在平衡状态时,M2和M4均处于饱和区 且电流相等,由此可以得到M5中的电流为:

当

,即当VEN满足(7)式时,TCK输出高电平,控制进入测试状态。

设计中VEN的选取既要保证VENCC+VD1,防止ESD二极管D1(见图2)导通,又要保证一定的噪声容限,防止EN接VCC正常工作时噪声引起两者的差别使电路进入测试状态,一般可选取(VEN-VCC)等于0.3~0.4V,由(7)式可知,可以通过调整R2达到设计要求。
测试序列的产生
由于需要测试的参数往往比较多,所以整个测试过程需要分为若干个测试阶段进行,可以应用计数器和译码器产生测试序列,以便在不同的阶段测试不同的参数。图3为一个简单的测试序列产生电路,运用两个T触发器组成的4进制计数器和4个与非门产生共4个测试阶段T1~T4。当TCK为低电平时,电路处于正常工作状态或关断状态(由SHUT决定),当TCK第一次为高电平时,T1为高电平,进入第一个测试阶段,通过一定的控制电路测试一部分数据;当TCK第二次为高电平时,T2为高电平,进入第二个测试阶段,测试另外一些数据,依次类推,可以根据测试参数的需要增加或减少测试阶段。图3中SHUT为计数器清零控制信号,可以使计数器回到起始状态。测试的控制电路在下一小节中介绍。

图3测试序列内建产生电路及其时序图
内部信号的输出
DC-DC中需要测量的电参数主要有模拟电压信号、数字电压信号、电流信号和其他特殊参数,它们需要输出到外引脚上才可以进行测量,输出的方法分别如下。
(1)模拟电压信号的输出
DC-DC有些关键的电压信号需要测量,比如基准电压、过压关断的门限电压、欠压关断的门限电压等,这些电压节点的驱动能力往往比较小,直接测量可能造成较大的误差或内部稳定性问题。为此,可以考虑采用一个运算放大器对需要测量的电压节点进行电压跟随输出,然后进行测量。DC-DC中的误差放大器EA(见图4)是一个增益很大、反相输入端接外引脚VFB的运算放大器,可以用来作为电压跟随器。实际上可以通过一个切换电路K2将需要测试的电压信号接到EA的同相输入端,而用一个开关K1将EA的反相输入端和输出端相连,就构成了电压跟随器,需要测试的信号就可以从VFB输出。在下面的实例中,基准电压就是通过这种方式测量的。

图4具有内建测试电路的DC-DC框图
(2)数字电压信号的输出
对振荡器的输出等数字信号进行测量时,同样存在驱动能力不足的问题,采用一个由小到大的多级非门可以组成比较理想的缓冲电路。可以通过类似的切换电路(见图4中K3)将需要测试的信号接到缓冲电路的输入端,再通过K4从SW输出,这时需要将DC-DC的主开关管和整流开关管关断。对于有些占空比过小或过大的数字信号,测频率时可以通过T触发器进行二分频得到50%占空比的方波信号输出,以方便测量。图4给出了BUCK同步整流DC-DC的典型框图,示意性的给出了模拟电压信号和数字电压信号的输出方法。
(3)电流信号的输出
芯片内部的电流信号经常是μA级的,测量时可以通过一个1∶10的电流镜将需要测量的电流信号放大,再从SW输出进行测量。通过切换电路可以决定需要测量的电流。
(4)其他参数的测量
DC-DC中,还经常测量其他一些参数或需要验证一些功能状态是否正常。比如需要测量开关管的导通电阻,需要测量过电压、过电流等的门限,这时需要从一个引脚接入一个激励信号,然后从本引脚或其他引脚测试输出信号。
开关导通电阻是影响DC-DC效率的一个重要因素,设计中需要对其进行检测。图4中,主开关导通电阻等于主通路MP和采样通路RS,MS相并联的电阻,测试主开关导通电阻时(见图5(a)),可以控制主开关管MP和采样开关管MS处于导通状态,同步整流开关管MN处于关断状态,在SW和GND之间接一个合适的电阻和电流表,根据VCC与SW之间的电压差和电阻的电流值就可以得到MP的导通电阻。测量同步整流开关管MN电阻时(见图5(b)),控制MP和MS关断,MN导通,由于整流管MN正常导通时,电流方向从GND到SW,所以需要像图5(b)那样加电源和电阻,同样可以通过电压表和电流表的读数得到MN的导通电阻。DC-DC中有多个比较器,比如过压比较器、过流比较器等,这些比较器的翻转门限需要设置合适测量时,通过切换电路控制比较器的输入接VFB,比较结果从SW输出。这样可以从VFB接入可调节的信号,观察SW的电平变化测得比较器门限。另外,运算放大器的测试也很重要,可以参阅文献。

图5导通电阻的测量(a)主开关管;(b)同步整流开关管
外围控制电路
在测试过程中,需要给EN引脚加一个高电平为VCC+0.3V,低电平介于1.5V和VCC+0.3V之间的可切换的信号。为了准确控制时序,要求该控制信号在跳变过程中不能抖动,而且要求在VCC调整时,EN和VCC的电压差不发生变化,以便保持状态。图6是实现这种目的的一个简单电路,图6中V1为主电源,芯片由VCC供电,V2为一个固定的0.3V的电源,D1为一个二极管。由U1和U2组成的RS触发器的电源由V2的正端提供。当按下AN1时,由于R3电流和压降很小,EN电平近似为VCC-VD1,芯片处于正常工作状态,当按下AN2时,由于R4≥R3≥R ON(M1) ,(R ON(M1) )为M1的导通电阻),EN电平近似为VCC+0.3V,芯片处于测试状态,由于RS触发器的锁定作用,电平在跳变时不会抖动。当按下AN3时,EN电平为0,芯片关断,计数器清零。R3在AN3按下时起到限流作用,R4的作用是防止U1输出高电平(VCC+0.3V)时M1的泄漏电流抬高EN电平。

图6外围测试控制电路
试验结果
在一款BUCK型DC-DC的设计中,采用了以上的可测性设计方法,内部的测试电路成功地实现了片内电压基准、振荡频率、电流门限、过压关断门限、导通电阻等重要指标的测量,极大地方便了设计过程中的故障推断。而且这种测量可以在硅圆片上直接进行,不需要搭建应用电路,可以根据测试结果通过预留的熔断丝(fuse)进行调节,大大地提高了测试效率和芯片成品率,并且在测试中发现内建测试电路对芯片的正常工作没有任何影响,测试的精度可以满足一般DC-DC设计的要求。这款DC-DC的输入电压为2.5~5.5V,输出电流为300mA,效率达到94%,芯片可以稳定地工作在连续模式和非连续模式。设计采用0.5μm的CMOS工艺,芯片面积1mm×1mm,内建测试电路仅占总面积的0.4%,图7为该芯片的实物照片。

图7具有内建测试电路的DC-DC照片
结论
文中提出一种DC-DC的内建可测性设计方法,利用引脚复用技术控制芯片进入测试状态,可以利用芯片仅有的6只引脚对其内部的重要参数进行测量,大大方便了设计阶段的故障分析过程。这种方法用于一种DC-DC的电路设计,占用面积很小,但可完成十多种片内参数的测量,这种可测性设计方法也可以用于其他数模混合电路中。
射频工程师养成培训教程套装,助您快速成为一名优秀射频工程师...
射频和天线工程师培训课程详情>>

