- 易迪拓培训,专注于微波、射频、天线设计工程师的培养
一种新型开关电源模块均流技术的研究
录入:edatop.com 点击:
众所周知,并联技术已成为实现大功率分布式电源系统的核心技术,但由于各并联电源模块特性并不完全一致,输出电压高的模块可能承担更多负载,而有的模块则可能轻载、甚至空载运行,结果导致分担电流多的模块热应力大,降低了电源整体的工作可靠性。随着电子系统的发展,对电源可靠性、效率和功率密度的要求越来越高,因此有必要采取一种有效的均流控制方案,保证整个电源系统的输出电流按各个单元模块的输出能力均摊,这样既能充分发挥单元电源模块的输出能力,又能保证每个单元电源的工作可靠性。
目前已有大量文献介绍并联电源系统的均流技术,虽然其原理不尽相同,但控制器的设计都是在电源模块简化、近似的数学模型基础上进行。考虑到大功率器件及其电源模块的非线性特性,基于古典反馈控制的均流措施不可能取得满意的控制效果。随着计算机技术的迅速发展,复杂参量和系统的状态实时计算、估计已成为现实,自适应控制、滑模变结构控制等现代控制理论以及模糊控制、神经网络等智能控制方法都已应用于电力电子系统。因此,在设计高精度、高稳定性电源时使用先进的控制策略论将更具吸引力和实用价值。本文将模糊控制与常规PID控制相结合,并采用积分前馈控制,构成智能均流控制器,试验波形表明电源系统的动、静态性能得到了显著提高。
并联DC/DC模块的主-从均流法
工作原理
如图1a所示,在主从控制方式下的N个模块中#1模块作为主模块(master),工作在电压源(VS)方式(图1b),其余N-1个模块作为从模块(slave),工作在电流源(CS)方式(图1c)。Vr1是主模块的电流基准值,作为PWM控制器的控制电压;从模块的PWM控制器由主模块与从模块输出电流的偏差电压即电流负反馈来调节,CSC是均流控制器。由于从模块电流均按主模块电流进行调节,其输出电流与主模块电流基本一致,从而实现均流。因此,该系统实际上是一个由电压外环和电流内环构成的双闭环控制系统。

图1 并联电源模块的主-从均流法工作原理图
主要特点
双闭环主-从均流控制技术主要有以下特点:
(1)每个电源模块的输出电流能够自动按功率份额均摊,实现均流;
(2)当输入电压或/和负载电流变化时,能保持输出电压稳定,并且均流瞬态响应好;
(3)由于主从模块间需要通讯联系,所以整个系统较为复杂。
PID均流控制器(CSC)设计
虽然文献提出的PI均流控制器在DC/DC模块电源并联系统中获得了较高的均流精度,但动态性能尚无法 满足电源在负载变化或电网波动过程中的快速性要求。为改善动态特性,在PI调节器的基础上引入微分环节,构成PID控制器。这里以降压型(BUCK)DC/DC电源模块为例,进行具体说明。模块参数:输入电压15V,输出电压5V,输出电流15A。系统采用三模块并联的MSC拓扑,电源总输出电流是45A。若均流控制器(CSC)采用图2所示的PI控制器,选择其带宽BW=28kHz,相位裕量pM=48°,幅值裕量GM=15dB,则其传递函数及参数:

图2 模糊均流控制器结构图

其中:

在PI控制器的基础上引入微分环节,增加低频段零点,从而在保证充分相位裕量的前提下,增加系统带宽。为提高系统快速性,将PID调节器的带宽由28kHz提高到100kHz,相位裕量不变,幅值裕量为无穷大,则PID控制器的传递函数为:

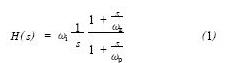
其中:kp=20,ki=1,kd=0.1,传递函数中包括Z1=0.05s-1、Z2=300×103s-1两个零点和附加微分环节的高频极点p=-ωp,ωp值由式(1)决定。值得注意的是,虽然电源系统的响应速度有了显著提高,但是带宽的增加使系统抑制输入信号高频噪声的能力大大下降。因此带宽的选择应当是在电源系统具体的应用背景下具体分析,尽量在系统快速性和抗扰性之间取得平衡。
FUZZY-PID均流控制器设计
由于并联电源系统的强耦合、非线性特性,其均流控制器的PID参数整定非常困难甚至根本无法整定,很难在工程上找到同时满足稳定性和动态性能要求的解决方案。因此,借助于智能控制不依赖被控对象精确数学模型的特点,本文介绍一种新型智能均流控制器设计方案,在PID调节器中引入模糊控制,在实现并联模块均流的同时,进一步提高系统的动静态性能指标。
均流控制器结构
基于FUZZY-PID控制的CSC结构(图2)采用二维模糊控制器结构,以均流误差e和误差变化e作为输入量,u为输出控制量。此时,模糊控制器的控制量成为电流误差和误差变化的非线性函数,它具有类似PD调节器的控制效果,系统动态特性有所改善,而静态性能并不令人满意,系统无法完全消除稳态误差;再加之模糊控制固有的死区现象,使稳态误差进一步扩大。另外,在模糊变量分级不够多的情况下,常常在平衡点附近有振荡现象。为克服这些问题,系统又引入误差信号的积分分离、前馈控制算法,以消除稳态误差。
模糊控制器设计
通常模糊控制规则由总结实际操作经验而得来,但对于并联电源系统这种特定对象,要总结人工控制经验比较困难,因此本设计考虑将上述经典PID控制策略模糊化,得到所需控制规则。
定义输入量e和e的模糊集为:{负(N)、零(Z)、正(P)},控制量u的模糊集为{负大(NB)、负小(NS)、零(Z)、正小(PS)、正大(PB)},对应隶属函数均为三角型(图3)。基于式(2)PID专家知识的模糊变量赋值按以下过程建立:因PID调节器的比例与微分系数之比kp/kd=200,若e的变化范围是[-1,1],则可以确定e的变化范围是[-200,200]。如果e是负(-1),且e也是负(-200),那么基于PID的模糊推理结果即控制量u约是-40,也就是说u值论域中的负大(NB)对应于-40。依此类推,可获得其余推理结果,模糊控制表如表1所示。

图3 隶属函数

表1 模糊控制规则表
实验与结论
这里就三个BUCKDC/DC电源模块并联系统进行仿真实验研究。图4a和图4b分别是70%负载条件下CSC采用PID调节器和FUZZY-PID调节器时系统的阶跃响应波形,从中可以看出:

图4 并联电源系统阶跃响应图
(1)基于FUZZY-PID均流调节器的电源系统中各模块电流波形几乎完全一致,而在PID调节作用下各模块电流波形差别较大,这说明FUZZY-PID控制的稳定性好,稳态精度高,动态响应快且无超调。
系统主电路
逆变主电路为交-直-交电压型,整流侧为单相二极管不可控型。这种方式不仅控制简单,而且系统具有较高的功率因数。为减小装置体积,减少谐波,提高电流波形质量。逆变功率元件采用高开关频率的三菱电机公司第三代智能功率模块PM20CSJ060。该模块为六合一封装,内部为三相桥式电路结构,内部集成了高速、低功耗的IGBT芯片及其驱动、保护电路。此外,该模块还集成了过热和欠压锁定保护电路,使得系统的可靠性得到进一步提高。控制电路上的LF2407芯片输出的六路空间矢量信号SVPWM经光耦6N136实现对IPM隔离驱动,再将整流滤波后的直流电压逆变为所需的高频交流电驱动永磁空调压缩机。
系统中还有电流检测电路,采用霍尔电流传感器检测永磁电机A、C两相,再利用采样电阻和多级运放将电流信号处理为在0~5V间变化的模拟电压信号,与集成在LF2407内的A/D转换器外引脚相连接。由于无位置传感器技术无法知道转子的初始位置,永磁电机也只有在起动后才能工作在无位置传感器状态下,所以用光电式旋转编码器来实现转子初始位置的检测。其它的保护电路由LF2407的事件管理器来实现,一旦系统出现故障,片内固化的中断程序将自动切断系统的SVPWM输出,直到故障消失和系统复位。
系统软件设计
本文研究的永磁空调系统控制软件全部由LF2407完成,主要是完成空间磁场定向控制,产生SVPWM信号。控制软件包括初始化程序、主程序和中断服务子程序三个部分。系统在每次复位后,首先执行初始化程序,完成DSP内部设定和初始状态的检测,然后开启中断,执行主程序。一旦外部中断条件满足时,系统执行中断服务子程序,直到系统重新复位。图5为SVPWM中断服务子程序框图。

图5 SVPWM中断子程序流程图
结论
本文根据永磁同步电动机矢量控制原理和变频空调器的要求,开发了一套基于DSP的全新变频空调控制系统。利用LF2407的六个PWM全比较器产生的SVPWM控制信号就可以实现对永磁同步电动机的变频控制。该空调控制系统充分利用了LF2407的超强实时计算能力和一些集成器件,使整个系统结构简单、产品开发周期短、可靠性强。
目前已有大量文献介绍并联电源系统的均流技术,虽然其原理不尽相同,但控制器的设计都是在电源模块简化、近似的数学模型基础上进行。考虑到大功率器件及其电源模块的非线性特性,基于古典反馈控制的均流措施不可能取得满意的控制效果。随着计算机技术的迅速发展,复杂参量和系统的状态实时计算、估计已成为现实,自适应控制、滑模变结构控制等现代控制理论以及模糊控制、神经网络等智能控制方法都已应用于电力电子系统。因此,在设计高精度、高稳定性电源时使用先进的控制策略论将更具吸引力和实用价值。本文将模糊控制与常规PID控制相结合,并采用积分前馈控制,构成智能均流控制器,试验波形表明电源系统的动、静态性能得到了显著提高。
并联DC/DC模块的主-从均流法
工作原理
如图1a所示,在主从控制方式下的N个模块中#1模块作为主模块(master),工作在电压源(VS)方式(图1b),其余N-1个模块作为从模块(slave),工作在电流源(CS)方式(图1c)。Vr1是主模块的电流基准值,作为PWM控制器的控制电压;从模块的PWM控制器由主模块与从模块输出电流的偏差电压即电流负反馈来调节,CSC是均流控制器。由于从模块电流均按主模块电流进行调节,其输出电流与主模块电流基本一致,从而实现均流。因此,该系统实际上是一个由电压外环和电流内环构成的双闭环控制系统。

图1 并联电源模块的主-从均流法工作原理图
主要特点
双闭环主-从均流控制技术主要有以下特点:
(1)每个电源模块的输出电流能够自动按功率份额均摊,实现均流;
(2)当输入电压或/和负载电流变化时,能保持输出电压稳定,并且均流瞬态响应好;
(3)由于主从模块间需要通讯联系,所以整个系统较为复杂。
PID均流控制器(CSC)设计
虽然文献提出的PI均流控制器在DC/DC模块电源并联系统中获得了较高的均流精度,但动态性能尚无法 满足电源在负载变化或电网波动过程中的快速性要求。为改善动态特性,在PI调节器的基础上引入微分环节,构成PID控制器。这里以降压型(BUCK)DC/DC电源模块为例,进行具体说明。模块参数:输入电压15V,输出电压5V,输出电流15A。系统采用三模块并联的MSC拓扑,电源总输出电流是45A。若均流控制器(CSC)采用图2所示的PI控制器,选择其带宽BW=28kHz,相位裕量pM=48°,幅值裕量GM=15dB,则其传递函数及参数:

图2 模糊均流控制器结构图

其中:

在PI控制器的基础上引入微分环节,增加低频段零点,从而在保证充分相位裕量的前提下,增加系统带宽。为提高系统快速性,将PID调节器的带宽由28kHz提高到100kHz,相位裕量不变,幅值裕量为无穷大,则PID控制器的传递函数为:

其中:kp=20,ki=1,kd=0.1,传递函数中包括Z1=0.05s-1、Z2=300×103s-1两个零点和附加微分环节的高频极点p=-ωp,ωp值由式(1)决定。值得注意的是,虽然电源系统的响应速度有了显著提高,但是带宽的增加使系统抑制输入信号高频噪声的能力大大下降。因此带宽的选择应当是在电源系统具体的应用背景下具体分析,尽量在系统快速性和抗扰性之间取得平衡。
FUZZY-PID均流控制器设计
由于并联电源系统的强耦合、非线性特性,其均流控制器的PID参数整定非常困难甚至根本无法整定,很难在工程上找到同时满足稳定性和动态性能要求的解决方案。因此,借助于智能控制不依赖被控对象精确数学模型的特点,本文介绍一种新型智能均流控制器设计方案,在PID调节器中引入模糊控制,在实现并联模块均流的同时,进一步提高系统的动静态性能指标。
均流控制器结构
基于FUZZY-PID控制的CSC结构(图2)采用二维模糊控制器结构,以均流误差e和误差变化e作为输入量,u为输出控制量。此时,模糊控制器的控制量成为电流误差和误差变化的非线性函数,它具有类似PD调节器的控制效果,系统动态特性有所改善,而静态性能并不令人满意,系统无法完全消除稳态误差;再加之模糊控制固有的死区现象,使稳态误差进一步扩大。另外,在模糊变量分级不够多的情况下,常常在平衡点附近有振荡现象。为克服这些问题,系统又引入误差信号的积分分离、前馈控制算法,以消除稳态误差。
模糊控制器设计
通常模糊控制规则由总结实际操作经验而得来,但对于并联电源系统这种特定对象,要总结人工控制经验比较困难,因此本设计考虑将上述经典PID控制策略模糊化,得到所需控制规则。
定义输入量e和e的模糊集为:{负(N)、零(Z)、正(P)},控制量u的模糊集为{负大(NB)、负小(NS)、零(Z)、正小(PS)、正大(PB)},对应隶属函数均为三角型(图3)。基于式(2)PID专家知识的模糊变量赋值按以下过程建立:因PID调节器的比例与微分系数之比kp/kd=200,若e的变化范围是[-1,1],则可以确定e的变化范围是[-200,200]。如果e是负(-1),且e也是负(-200),那么基于PID的模糊推理结果即控制量u约是-40,也就是说u值论域中的负大(NB)对应于-40。依此类推,可获得其余推理结果,模糊控制表如表1所示。

图3 隶属函数

表1 模糊控制规则表
实验与结论
这里就三个BUCKDC/DC电源模块并联系统进行仿真实验研究。图4a和图4b分别是70%负载条件下CSC采用PID调节器和FUZZY-PID调节器时系统的阶跃响应波形,从中可以看出:

图4 并联电源系统阶跃响应图
(1)基于FUZZY-PID均流调节器的电源系统中各模块电流波形几乎完全一致,而在PID调节作用下各模块电流波形差别较大,这说明FUZZY-PID控制的稳定性好,稳态精度高,动态响应快且无超调。
系统主电路
逆变主电路为交-直-交电压型,整流侧为单相二极管不可控型。这种方式不仅控制简单,而且系统具有较高的功率因数。为减小装置体积,减少谐波,提高电流波形质量。逆变功率元件采用高开关频率的三菱电机公司第三代智能功率模块PM20CSJ060。该模块为六合一封装,内部为三相桥式电路结构,内部集成了高速、低功耗的IGBT芯片及其驱动、保护电路。此外,该模块还集成了过热和欠压锁定保护电路,使得系统的可靠性得到进一步提高。控制电路上的LF2407芯片输出的六路空间矢量信号SVPWM经光耦6N136实现对IPM隔离驱动,再将整流滤波后的直流电压逆变为所需的高频交流电驱动永磁空调压缩机。
系统中还有电流检测电路,采用霍尔电流传感器检测永磁电机A、C两相,再利用采样电阻和多级运放将电流信号处理为在0~5V间变化的模拟电压信号,与集成在LF2407内的A/D转换器外引脚相连接。由于无位置传感器技术无法知道转子的初始位置,永磁电机也只有在起动后才能工作在无位置传感器状态下,所以用光电式旋转编码器来实现转子初始位置的检测。其它的保护电路由LF2407的事件管理器来实现,一旦系统出现故障,片内固化的中断程序将自动切断系统的SVPWM输出,直到故障消失和系统复位。
系统软件设计
本文研究的永磁空调系统控制软件全部由LF2407完成,主要是完成空间磁场定向控制,产生SVPWM信号。控制软件包括初始化程序、主程序和中断服务子程序三个部分。系统在每次复位后,首先执行初始化程序,完成DSP内部设定和初始状态的检测,然后开启中断,执行主程序。一旦外部中断条件满足时,系统执行中断服务子程序,直到系统重新复位。图5为SVPWM中断服务子程序框图。

图5 SVPWM中断子程序流程图
结论
本文根据永磁同步电动机矢量控制原理和变频空调器的要求,开发了一套基于DSP的全新变频空调控制系统。利用LF2407的六个PWM全比较器产生的SVPWM控制信号就可以实现对永磁同步电动机的变频控制。该空调控制系统充分利用了LF2407的超强实时计算能力和一些集成器件,使整个系统结构简单、产品开发周期短、可靠性强。
射频工程师养成培训教程套装,助您快速成为一名优秀射频工程师...
天线设计工程师培训课程套装,资深专家授课,让天线设计不再难...
上一篇:降低开关电源电磁干扰水平的研究
下一篇:基于AOA的多功能n-1阶电流模式滤波器
射频和天线工程师培训课程详情>>

