- 易迪拓培训,专注于微波、射频、天线设计工程师的培养
基于AOA的多功能n-1阶电流模式滤波器
录入:edatop.com 点击:
已有文献报道了电流模式n阶CCCII(±)-低通滤波器的系统设计,这种设计方法思路清晰,数学简便。然而,由于CCII(second generation currentconveyor)、CCC II (second generation currentcontrolled conveyor)的Y端高阻抗,不仅使以它为有源器件的积分器易受寄生电容影响,误差大,而且使反馈网络有不可忽视的正向传输,使得理论分析误差大;此外,CCCII的X端寄生电阻与温度成正比,致使滤波器参数温度的稳定性差。为此,笔者用AOA有源器件代替CCC II,因AOA输入端“虚地”,从而解决了因使用CCCII所带来的问题,并通过巧妙设计,获得了低通、高通和两种带通滤波功能。
1 AOA及其基本电路模块
AOA的电路符号如图1(a)所示。当AOA为理想情况下,则μ=∞,Ii=Io-/μ=Io+/μ。当引入负反馈后,AOA是输入端“虚地”、“虚断”,输出电阻为无穷大,电流增益亦为无穷大的差动输出理想电流放大器。
由AOA构成的多路输出积分器如图1(b)所示。由图知:

可见这是有两个输出的电流模式的反相积分器。因输入端“虚地”,积分器的时间常数较少受寄生电容的影响,故该积分器精度高。
由AOA构成的多路输出比例电路如图1(c)所示。其反相输出为:

2 AOA多功能n-1阶电流模式滤波器
由n-1个AOA两输出反相积分器和一个AOA多路输出比例电路构成的多功能n-1阶电流模式滤波器如图2所示。

式中:Io=[Io1,Io2, …Ion]T,If=[If1,If2, …Ifn]T。为保证积分器的关系成立,其输出端需“虚地”,因此反馈网络的输入Io与输出If应短接,则有Fij=-1。
考虑到反馈网络只有反相传输,在i>j时,必有Fij=0,所以F为一上三角阵。再考虑到只引入负反馈,当i为奇数,j为偶数;或者当i为偶数,j为奇数时,应有Fij=0。则反馈网络矩阵为

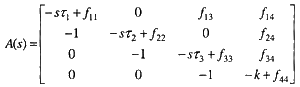
根据AOA积分器的端口特性,可列出电流方程组(7),其中τi=RiCi,i=1,2,…,n-1,k=Rn/Rn’。由式(6)、(7)得式(8),其中Ii=[Ii1,Ii2,…,Iin]T为输入电流向量,Io=[Io1,Io2, …,Ion]T为输出电流向量。滤波器的系统矩阵A(s)为式(9)。

其中|A(s)|为矩阵A(s)的系数行列式,A*(s)为A(s)的伴随矩阵。
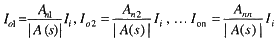
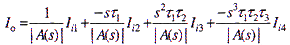
若Io=Ion,解式(10)得

其中Aij表示A中各元素在A中的代数余子式。从而得到多输入、单输出多功能滤波器。
若Ii=Iin,Ii1=Ii2=…=Iin-1=0,解式(10)得

从而得到单输入、多输出多功能滤波器。
3 设计实例
为运算简单,以三阶多输入、单输出多功能巴特沃思滤波器为例进行说明。由式(9)得三阶滤波器的系统矩阵为:

为获得低通、带通、高通输出,令f11=f22=f33=f44=f13=0,则有

其中

为使系统稳定、简单,选取k=1,f34=1,f14=1,f24=-1。若取τ1τ2τ3=1,τ1τ2=2,τ1=2,则τ2=1,τ3=0.5,即为三阶巴特沃思滤波器。如图3所示。

若Ii=Ii1,Ii2=Ii3=Ii4=0,则有
Io/Ii=1/s3+2s2+2s+1
实现了三阶巴特沃思低通滤波。
若Ii=Ii2,Ii1=Ii3=Ii4=0,则有
Io/Ii=-2s/s3+2s2+2s+1
实现了三阶巴特沃思带通滤波。
若Ii=Ii3,Ii1=Ii2=Ii4=0,则有
Io/Ii=2s2/s3+2s2+2s+1
实现了三阶巴特沃思带通滤波。
若Ii=Ii4,Ii1=Ii2=Ii3=0,则有
Io/Ii=-s3/s3+2s2+2s+1
实现了三阶巴特沃思高通通滤波。
4 计算机仿真
在图3中,取τ1τ2τ3=1,τ1τ2=2,τ1=2,则τ2=1,τ3=0.5即为三阶巴特沃思滤波器。设截止频率为105rad/s,若取R=10 kΩ,则去归一化后电容值为C1=2 nF,C2=1 nF,G3=0.5 nF。具体仿真时,先将AOA按文给出的双极型电路实现,然后创建其子电路。再按图3电路进行仿真。为了能用EWB软件仿真电流模电路,考虑到AOA端“虚地”,故可用电压源串联10 kΩ电阻等效电流源Ii,则输入、输出电压除以10 kΩ即代表输入、输出电流(单位是mA),从而实现电流模电路仿真。结果如图4所示,其中曲线(1)代表单位输入电流(1 mA),(a)、(b)、(c)、(d)中曲线(2)分别为低通、带通、带通、高通电流增益,可见与理论分析一致。

5 结论
提出了一种设计AOA多功能高阶电流模滤波器的系统方法,该滤波器可在同一端口分别实现多种滤波功能,也可在不同端口同时实现多功能滤波。与CCCII(±)高阶低通电流模式滤波器相比,其最大特点是理论误差小,精度高;滤波器参数取决于无源电阻、电容,与温度无关,因而稳定性好。这对VLSI单片集成技术,有着重要的参考作用。
1 AOA及其基本电路模块
AOA的电路符号如图1(a)所示。当AOA为理想情况下,则μ=∞,Ii=Io-/μ=Io+/μ。当引入负反馈后,AOA是输入端“虚地”、“虚断”,输出电阻为无穷大,电流增益亦为无穷大的差动输出理想电流放大器。
由AOA构成的多路输出积分器如图1(b)所示。由图知:

可见这是有两个输出的电流模式的反相积分器。因输入端“虚地”,积分器的时间常数较少受寄生电容的影响,故该积分器精度高。
由AOA构成的多路输出比例电路如图1(c)所示。其反相输出为:

2 AOA多功能n-1阶电流模式滤波器
由n-1个AOA两输出反相积分器和一个AOA多路输出比例电路构成的多功能n-1阶电流模式滤波器如图2所示。

式中:Io=[Io1,Io2, …Ion]T,If=[If1,If2, …Ifn]T。为保证积分器的关系成立,其输出端需“虚地”,因此反馈网络的输入Io与输出If应短接,则有Fij=-1。
考虑到反馈网络只有反相传输,在i>j时,必有Fij=0,所以F为一上三角阵。再考虑到只引入负反馈,当i为奇数,j为偶数;或者当i为偶数,j为奇数时,应有Fij=0。则反馈网络矩阵为

根据AOA积分器的端口特性,可列出电流方程组(7),其中τi=RiCi,i=1,2,…,n-1,k=Rn/Rn’。由式(6)、(7)得式(8),其中Ii=[Ii1,Ii2,…,Iin]T为输入电流向量,Io=[Io1,Io2, …,Ion]T为输出电流向量。滤波器的系统矩阵A(s)为式(9)。

其中|A(s)|为矩阵A(s)的系数行列式,A*(s)为A(s)的伴随矩阵。
若Io=Ion,解式(10)得

其中Aij表示A中各元素在A中的代数余子式。从而得到多输入、单输出多功能滤波器。
若Ii=Iin,Ii1=Ii2=…=Iin-1=0,解式(10)得

从而得到单输入、多输出多功能滤波器。
3 设计实例
为运算简单,以三阶多输入、单输出多功能巴特沃思滤波器为例进行说明。由式(9)得三阶滤波器的系统矩阵为:

为获得低通、带通、高通输出,令f11=f22=f33=f44=f13=0,则有

其中

为使系统稳定、简单,选取k=1,f34=1,f14=1,f24=-1。若取τ1τ2τ3=1,τ1τ2=2,τ1=2,则τ2=1,τ3=0.5,即为三阶巴特沃思滤波器。如图3所示。

若Ii=Ii1,Ii2=Ii3=Ii4=0,则有
Io/Ii=1/s3+2s2+2s+1
实现了三阶巴特沃思低通滤波。
若Ii=Ii2,Ii1=Ii3=Ii4=0,则有
Io/Ii=-2s/s3+2s2+2s+1
实现了三阶巴特沃思带通滤波。
若Ii=Ii3,Ii1=Ii2=Ii4=0,则有
Io/Ii=2s2/s3+2s2+2s+1
实现了三阶巴特沃思带通滤波。
若Ii=Ii4,Ii1=Ii2=Ii3=0,则有
Io/Ii=-s3/s3+2s2+2s+1
实现了三阶巴特沃思高通通滤波。
4 计算机仿真
在图3中,取τ1τ2τ3=1,τ1τ2=2,τ1=2,则τ2=1,τ3=0.5即为三阶巴特沃思滤波器。设截止频率为105rad/s,若取R=10 kΩ,则去归一化后电容值为C1=2 nF,C2=1 nF,G3=0.5 nF。具体仿真时,先将AOA按文给出的双极型电路实现,然后创建其子电路。再按图3电路进行仿真。为了能用EWB软件仿真电流模电路,考虑到AOA端“虚地”,故可用电压源串联10 kΩ电阻等效电流源Ii,则输入、输出电压除以10 kΩ即代表输入、输出电流(单位是mA),从而实现电流模电路仿真。结果如图4所示,其中曲线(1)代表单位输入电流(1 mA),(a)、(b)、(c)、(d)中曲线(2)分别为低通、带通、带通、高通电流增益,可见与理论分析一致。

5 结论
提出了一种设计AOA多功能高阶电流模滤波器的系统方法,该滤波器可在同一端口分别实现多种滤波功能,也可在不同端口同时实现多功能滤波。与CCCII(±)高阶低通电流模式滤波器相比,其最大特点是理论误差小,精度高;滤波器参数取决于无源电阻、电容,与温度无关,因而稳定性好。这对VLSI单片集成技术,有着重要的参考作用。
射频工程师养成培训教程套装,助您快速成为一名优秀射频工程师...
天线设计工程师培训课程套装,资深专家授课,让天线设计不再难...
上一篇:一种新型开关电源模块均流技术的研究
下一篇:大功率CPU核心电压供电电路的设计
射频和天线工程师培训课程详情>>

