- 易迪拓培训,专注于微波、射频、天线设计工程师的培养
安森美案例:双开关正激转换器及其应用设计
录入:edatop.com 点击:
单开关(或称单晶体管)正激转换器是一种最基本类型的基于变压器的隔离降压转换器,广泛用于需要大降压比的应用。这种转换器的优点包括只需单颗接地参考晶体管,及非脉冲输出电流减小输出电容的均方根纹波电流含量等。但这种转换器的功率能力小于半桥或全桥拓扑结构,且变压器需要磁芯复位,使这种转换器的最大占空比限制在约50%。此外,金属氧化物半导体场效应管(MOSFET)开关的漏电压变化达输入电压的两倍或更多,使这种拓扑结构较难于用在较高输入电压的应用。
正激转换器中,变压器的磁芯单方向磁化,在每个开关周期都需要采用相应的措施来使磁芯复位到初始值,否则励磁电流会在每个开关周期增大,经历几个周期后会使磁芯饱和,损坏开关器件。相对而言,如果有磁芯复位,电流就不会在每个开关周期增大,电压会基于励磁电感(Lmag)反相并使磁芯复位。图1以单开关正激转换器为例,简要对比了无磁芯复位与有磁芯复位的电路图及励磁电感电流波形。
有3种常见的标准磁芯复位技术,分别是三次绕组,电阻、电容、二极管(RCD)钳位和双开关正激。三次绕组磁芯复位技术的电路示意图参见图1b),这种技术能够提供大于50%的占空比,但开关Q1的峰值电压可能大于输入电压的2倍,而且变压器有三次绕组,使变压器结构更复杂。RCD钳位磁芯复位技术也能使占空比大于50%,但需要写等式和仿真,以检验复位的正确性,让设计过程更复杂。RCD钳位技术的成本比三次绕组技术低,但由于复位电路中的钳位电阻消耗能量,影响了电源转换效率。

图1:正激转换器不带磁芯复位与带磁芯复位之对比。
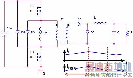
与前两种磁芯复位技术相比,双开关正激更易于实现,而且开关Q1上的峰值电压等于输入电压,降低了开关所承受的电压应力。这种技术需要额外的MOSFET (Q2)和高端驱动器,且需要2个高压低功率二极管(D3和D4),参见图2。双开关正激技术的每个开关周期包含3步:第1步,开关Q1、Q2及二极管D1导通,二极管D2、D3及D4关闭;第2步,开关Q1、Q2及二极管D1关闭,而二极管D2、D3及D4导通;第3步,开关Q1、Q2及二极管D1仍然关闭,二极管D2仍然导通,而二极管D3及D4则关闭。

图2:双开关正激转换器电路原理图。
当然,采用这种技术后,转换器就成了双开关正激转换器,它不同于单开关正激转换器,不需要特殊的复位电路就可以保证可靠的变压器磁芯复位,可靠性高,适合更高功率等级。
NCP1252双开关正激转换器演示板规格概览
NCP1252是安森美半导体新推出的一款改进型双开关正激转换器,适合于计算机ATX电源、交流适配器、UC38XX替代及其它任何要求低待机能耗的应用,相关能效测试结果将在后文提及。这器件也是一种固定频率控制器,带跳周期模式,能够提供真正的空载工作。此外,NCP1252具有可调节开关频率,增强设计灵活性;还带有闩锁过流保护功能,能够承受暂时的过载。其它特性还包括可调节软启动时长、内部斜坡补偿、自恢复输入欠压检测等。
NCP1252与市场上不含输入欠压检测 、软启动及过载检测的UC384x系列器件相比,提供这系列器件所不包含的这些功能(额外实现成本为0.07美元),降低成本并提升可靠性。
安森美半导体基于NCP1252构建的演示板规格包括:
NCP1252应用设计:功率元件计算
1) 变压器匝数比、占空比及励磁电感
首先计算变压器在连续导电模式(CCM)下的匝数比N。
根据等式(1)可以推导出等式(2):
(1)
(2)
其中,Vout是输出电压,η是目标能效,Vbulk min是最小输入电压(即350 Vdc),DCmax是NCP1252的最大占空比,N是变压器匝数比。
相应我们也可以验证出高输入线路电压(410 Vdc)时最小占空比,见等式(3):
(3)
为了恰当地磁芯复位,需要极小的励磁电流来对绕组电压反相。根据经验法则,励磁电流为初次峰值电流(Ip_pk)的10%。其中,Ip_pk取值0.94,这数值的计算过程参见后文。变压器励磁电感的计算见等式(4):
(4)
2) LC输出滤波器
首先选择交越频率(fC)。因开关噪声缘故,fC大于10 kHz时要求无噪声布线,难于设计。故不推荐在较高的频率交越,直接选定fC为10 kHz。
如果我们假定由fC、输出电容(Cout)及最大阶跃负载电流(ΔIout)确定出ΔIout 时的最大压降(Vout)为250 mV,我们就能写出下述等式:
(5)
(6)
我们选择的是2颗松下FM系列的1,000 μF@16 V电容。从电容规范中解析出:
Ic,rms=5.36 A @ TA=+105 ℃
RESR,low = 8.5 mW @ TA = +20 ℃
RESR,high = 28.5 mW @ TA = -10 ℃
接下来,以DIout = 5 A 来计算DVout ,见等式(7):
(7)
这里有一个经验法则,就是选择等式(6)计算出来的值一半的等效串联电阻(ESR)电容:RESR,max = 22 mW @ 0 ℃。这个规则考虑到了电容工艺变化,以及留出一些电源在极低环境温度条件下启动工作时的裕量。
最大峰值到峰值电流(ΔIL)的计算见等式(8):
(8)
要获取输出电感值,我们能够写出关闭时间期间的降压纹波电流等式:
(9)
对等式(9)进行转换,就可以得到等式(10),最终我们选择27 μH的标准值。
(10)
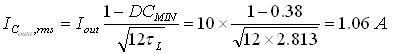
输出电容的均方根电流(ICout,rms)计算见等式(11):
(11)
其中,额定电感时间常数(τ)的计算见等式(12):
(12)
3) 变压器电流
经过一系列计算(详细计算过程参见参考资料3),可以得到:次级峰值电流(IL_pk)为11.13 A,次级谷底电流(IL_valley)为8.86 A,初级峰值电流(Ip_pk)为0.95 A,初级谷底电流(Ip_valley)为0.75 A,初级均方根电流(Ip,rms)为0.63 A。
4) MOSFET
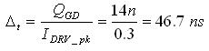
由于NCP1252是双开关正激转换器,故作为开关的功率MOSFET的最大电压限制为输入电压。通常漏极至源极击穿电压(BVDSS)施加了等于15%的降额因数,如果我们选择500 V的功率MOSFET,降额后的最大电压应该是:500 V x 0.85 = 425 V。我们选择的功率MOSFET是采用TO220封装的FDP16N50,其BVDSS为500 V,导通阻抗(RDS(on))为0.434 Ω(@Tj=110℃),总门电荷(QG)为45 nC,门极至漏极电荷(QGD)为14 nC。
MOSFET的导电损耗、开关导通损耗计算见等式(13)到(14):
(13)
(14)
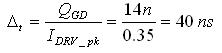
其中,交迭时间(Δt)由下列等式计算得出:
(15)
MOSFET的开关关闭损耗见等式(16):
(16)
其中,交迭时间(Δt)由下列等式计算得出:
(17)
因此,MOSFET的总损耗为:
Plosses=Pcond+PSW,on+PSW,off=173+149+324=646 mW (18)
5) 二极管
次极二极管D1和D2维持相同的峰值反相电压(PIV),结合二极管降额因数(kD)为40%,可以计算出PIV,见等式(19):
(19)
由于PIV<100 V,故能够选择30 A、60 V、TO-220封装的肖特基二极管MBRB30H60CT。
二极管导通时间期间的导电损耗为:
Pcond,forward=IoutVfDCmax=10x0.5x0.45=2.25 W (20)
关闭时间期间的导电损耗为:
Pcond,freewheel=IoutVf(1-DCmin)=10x0.5x(1-0.39) =3.05 W (21)
NCP1252应用设计:NCP1252元件计算
1) 用于选择开关频率的电阻Rt
采用一颗简单电阻,即可在50至500 kHz范围之间选择开关频率(FSW)。假定开关频率为125 kHz,那么我们就可以得到:
(22)
其中,VRt是Rt引脚上呈现的内部电压参考(2.2 V)。
2) 感测电阻
NCP1252的最大峰值电流感测电压达1 V。感测电阻(Rsense)以初级峰值电流的20%余量来计算,其中10%为励磁电流,10%为总公差:
(23)
(24)
3) 斜坡补偿
斜坡补偿旨在防止频率为开关频率一半时出现次斜坡振荡,这时转换器工作在CCM,占空比接近或高于50%。由于是正激拓扑结构,重要的是考虑由励磁电厂所致的自然补偿。根据所要求的斜坡补偿(通常为50%至100%),仅能够外部增加斜坡补偿与自然补偿之间的差值。
目标斜坡补偿等级为100%。相关计算等式如下:
内部斜坡:
(25)
初级自然斜坡:
(26)
次级向下斜坡:
(27)
自然斜坡补偿:
(28)
由于自然斜坡补偿低于100%的目标斜坡补偿,我们需要计算约33%的补偿:
(29)
(30)
由于RcompCCS网络滤波需要约220 ns的时间常数,故:
(31)
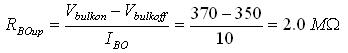
4) 输入欠压电阻
输入欠压(BO)引脚电压低于VBO参考时连接IBO电流源,从而产生BO磁滞。
(32)
(33)
NCP1252演示板图片及性能概览
NCP1252演示板的详细电路图参见参考资料2,其顶视图和底视图则见图3。

图3:NCP1252演示板的顶视图及底视图。
在室温及额定输入电压(390 Vdc)条件下,NCP1252演示板不同负载等级时的能效如图4所示。从此图可以看出,负载高于40%最大负载时,工作能效高于90%。这演示板还能藉在转换器次级端同步整流,进一步提升能效达几个百分点。

图4:NCP1252演示板在室温及额定输入电压(390 Vdc)条件下的能效图。
如前所述,NCP1252提供软启动功能,其中一个目标应用就是替代UC38xx。NCP1252有一个专用引脚,支持调节软启动持续时间及控制启动期间的峰值。
另外,NCP1252的待机能耗性能也很突出。这器件能藉将输入欠压(BO)引脚接地来关闭,而关闭时VCC输入端汲入的电流小于100 μA。
总结:
本文介绍了正激转换器磁芯复位技术的原理,比较了三次绕组、RCD钳位及双开关正激等常见的磁芯复位技术,分析了双开关正激转换器的优势,并结合安森美半导体基于双开关正激磁芯复位技术的NCP1252固定频率控制器,分享了这双开关正激转换器的应用设计过程。这器件集成了输入欠压检测、软启动及过载检测等众多特性。测试结果显示,NCP1252提供极高的工作能效和极低的待机能耗,适合UC38xx替代、ATX电源、适配器及其它任何要求低待机能耗的应用。
正激转换器中,变压器的磁芯单方向磁化,在每个开关周期都需要采用相应的措施来使磁芯复位到初始值,否则励磁电流会在每个开关周期增大,经历几个周期后会使磁芯饱和,损坏开关器件。相对而言,如果有磁芯复位,电流就不会在每个开关周期增大,电压会基于励磁电感(Lmag)反相并使磁芯复位。图1以单开关正激转换器为例,简要对比了无磁芯复位与有磁芯复位的电路图及励磁电感电流波形。
有3种常见的标准磁芯复位技术,分别是三次绕组,电阻、电容、二极管(RCD)钳位和双开关正激。三次绕组磁芯复位技术的电路示意图参见图1b),这种技术能够提供大于50%的占空比,但开关Q1的峰值电压可能大于输入电压的2倍,而且变压器有三次绕组,使变压器结构更复杂。RCD钳位磁芯复位技术也能使占空比大于50%,但需要写等式和仿真,以检验复位的正确性,让设计过程更复杂。RCD钳位技术的成本比三次绕组技术低,但由于复位电路中的钳位电阻消耗能量,影响了电源转换效率。

图1:正激转换器不带磁芯复位与带磁芯复位之对比。
与前两种磁芯复位技术相比,双开关正激更易于实现,而且开关Q1上的峰值电压等于输入电压,降低了开关所承受的电压应力。这种技术需要额外的MOSFET (Q2)和高端驱动器,且需要2个高压低功率二极管(D3和D4),参见图2。双开关正激技术的每个开关周期包含3步:第1步,开关Q1、Q2及二极管D1导通,二极管D2、D3及D4关闭;第2步,开关Q1、Q2及二极管D1关闭,而二极管D2、D3及D4导通;第3步,开关Q1、Q2及二极管D1仍然关闭,二极管D2仍然导通,而二极管D3及D4则关闭。

图2:双开关正激转换器电路原理图。
当然,采用这种技术后,转换器就成了双开关正激转换器,它不同于单开关正激转换器,不需要特殊的复位电路就可以保证可靠的变压器磁芯复位,可靠性高,适合更高功率等级。
NCP1252双开关正激转换器演示板规格概览
NCP1252是安森美半导体新推出的一款改进型双开关正激转换器,适合于计算机ATX电源、交流适配器、UC38XX替代及其它任何要求低待机能耗的应用,相关能效测试结果将在后文提及。这器件也是一种固定频率控制器,带跳周期模式,能够提供真正的空载工作。此外,NCP1252具有可调节开关频率,增强设计灵活性;还带有闩锁过流保护功能,能够承受暂时的过载。其它特性还包括可调节软启动时长、内部斜坡补偿、自恢复输入欠压检测等。
NCP1252与市场上不含输入欠压检测 、软启动及过载检测的UC384x系列器件相比,提供这系列器件所不包含的这些功能(额外实现成本为0.07美元),降低成本并提升可靠性。
安森美半导体基于NCP1252构建的演示板规格包括:
- 输入电压范围:350至410 Vdc;
- 输出电压:12 Vdc,精度±5%;
- 额定输出功率:96 W (8 A);
- 最大输出功率:120 W (每分钟持续5秒);
- 最小输出功率:真正空载(无假负载);
- 输出纹波:50 mV峰值至峰值;
- 最大瞬态负载阶跃:最大负载的50%;
- 最大输出压降:250 mV (5 μs内从输出电流=50%到满载(5 A到10 A))。
NCP1252应用设计:功率元件计算
1) 变压器匝数比、占空比及励磁电感
首先计算变压器在连续导电模式(CCM)下的匝数比N。
根据等式(1)可以推导出等式(2):
(1)
(2)其中,Vout是输出电压,η是目标能效,Vbulk min是最小输入电压(即350 Vdc),DCmax是NCP1252的最大占空比,N是变压器匝数比。
相应我们也可以验证出高输入线路电压(410 Vdc)时最小占空比,见等式(3):
(3)为了恰当地磁芯复位,需要极小的励磁电流来对绕组电压反相。根据经验法则,励磁电流为初次峰值电流(Ip_pk)的10%。其中,Ip_pk取值0.94,这数值的计算过程参见后文。变压器励磁电感的计算见等式(4):
(4)2) LC输出滤波器
首先选择交越频率(fC)。因开关噪声缘故,fC大于10 kHz时要求无噪声布线,难于设计。故不推荐在较高的频率交越,直接选定fC为10 kHz。
如果我们假定由fC、输出电容(Cout)及最大阶跃负载电流(ΔIout)确定出ΔIout 时的最大压降(Vout)为250 mV,我们就能写出下述等式:
(5)
(6)我们选择的是2颗松下FM系列的1,000 μF@16 V电容。从电容规范中解析出:
Ic,rms=5.36 A @ TA=+105 ℃
RESR,low = 8.5 mW @ TA = +20 ℃
RESR,high = 28.5 mW @ TA = -10 ℃
接下来,以DIout = 5 A 来计算DVout ,见等式(7):
(7) 这里有一个经验法则,就是选择等式(6)计算出来的值一半的等效串联电阻(ESR)电容:RESR,max = 22 mW @ 0 ℃。这个规则考虑到了电容工艺变化,以及留出一些电源在极低环境温度条件下启动工作时的裕量。
最大峰值到峰值电流(ΔIL)的计算见等式(8):
(8)要获取输出电感值,我们能够写出关闭时间期间的降压纹波电流等式:
(9)对等式(9)进行转换,就可以得到等式(10),最终我们选择27 μH的标准值。
(10) 输出电容的均方根电流(ICout,rms)计算见等式(11):
(11)其中,额定电感时间常数(τ)的计算见等式(12):
(12)3) 变压器电流
经过一系列计算(详细计算过程参见参考资料3),可以得到:次级峰值电流(IL_pk)为11.13 A,次级谷底电流(IL_valley)为8.86 A,初级峰值电流(Ip_pk)为0.95 A,初级谷底电流(Ip_valley)为0.75 A,初级均方根电流(Ip,rms)为0.63 A。
4) MOSFET
由于NCP1252是双开关正激转换器,故作为开关的功率MOSFET的最大电压限制为输入电压。通常漏极至源极击穿电压(BVDSS)施加了等于15%的降额因数,如果我们选择500 V的功率MOSFET,降额后的最大电压应该是:500 V x 0.85 = 425 V。我们选择的功率MOSFET是采用TO220封装的FDP16N50,其BVDSS为500 V,导通阻抗(RDS(on))为0.434 Ω(@Tj=110℃),总门电荷(QG)为45 nC,门极至漏极电荷(QGD)为14 nC。
MOSFET的导电损耗、开关导通损耗计算见等式(13)到(14):
(13)
(14) 其中,交迭时间(Δt)由下列等式计算得出:
(15)MOSFET的开关关闭损耗见等式(16):
(16) 其中,交迭时间(Δt)由下列等式计算得出:
(17)因此,MOSFET的总损耗为:
Plosses=Pcond+PSW,on+PSW,off=173+149+324=646 mW (18)
5) 二极管
次极二极管D1和D2维持相同的峰值反相电压(PIV),结合二极管降额因数(kD)为40%,可以计算出PIV,见等式(19):
(19)由于PIV<100 V,故能够选择30 A、60 V、TO-220封装的肖特基二极管MBRB30H60CT。
二极管导通时间期间的导电损耗为:
Pcond,forward=IoutVfDCmax=10x0.5x0.45=2.25 W (20)
关闭时间期间的导电损耗为:
Pcond,freewheel=IoutVf(1-DCmin)=10x0.5x(1-0.39) =3.05 W (21)
NCP1252应用设计:NCP1252元件计算
1) 用于选择开关频率的电阻Rt
采用一颗简单电阻,即可在50至500 kHz范围之间选择开关频率(FSW)。假定开关频率为125 kHz,那么我们就可以得到:
(22) 其中,VRt是Rt引脚上呈现的内部电压参考(2.2 V)。
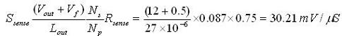
2) 感测电阻
NCP1252的最大峰值电流感测电压达1 V。感测电阻(Rsense)以初级峰值电流的20%余量来计算,其中10%为励磁电流,10%为总公差:
(23)
(24)3) 斜坡补偿
斜坡补偿旨在防止频率为开关频率一半时出现次斜坡振荡,这时转换器工作在CCM,占空比接近或高于50%。由于是正激拓扑结构,重要的是考虑由励磁电厂所致的自然补偿。根据所要求的斜坡补偿(通常为50%至100%),仅能够外部增加斜坡补偿与自然补偿之间的差值。
目标斜坡补偿等级为100%。相关计算等式如下:
内部斜坡:
(25) 初级自然斜坡:
(26)次级向下斜坡:
(27)自然斜坡补偿:
(28)由于自然斜坡补偿低于100%的目标斜坡补偿,我们需要计算约33%的补偿:
(29)
(30)由于RcompCCS网络滤波需要约220 ns的时间常数,故:
(31)4) 输入欠压电阻
输入欠压(BO)引脚电压低于VBO参考时连接IBO电流源,从而产生BO磁滞。
(32)
(33) NCP1252演示板图片及性能概览
NCP1252演示板的详细电路图参见参考资料2,其顶视图和底视图则见图3。

图3:NCP1252演示板的顶视图及底视图。
在室温及额定输入电压(390 Vdc)条件下,NCP1252演示板不同负载等级时的能效如图4所示。从此图可以看出,负载高于40%最大负载时,工作能效高于90%。这演示板还能藉在转换器次级端同步整流,进一步提升能效达几个百分点。

图4:NCP1252演示板在室温及额定输入电压(390 Vdc)条件下的能效图。
如前所述,NCP1252提供软启动功能,其中一个目标应用就是替代UC38xx。NCP1252有一个专用引脚,支持调节软启动持续时间及控制启动期间的峰值。
另外,NCP1252的待机能耗性能也很突出。这器件能藉将输入欠压(BO)引脚接地来关闭,而关闭时VCC输入端汲入的电流小于100 μA。
总结:
本文介绍了正激转换器磁芯复位技术的原理,比较了三次绕组、RCD钳位及双开关正激等常见的磁芯复位技术,分析了双开关正激转换器的优势,并结合安森美半导体基于双开关正激磁芯复位技术的NCP1252固定频率控制器,分享了这双开关正激转换器的应用设计过程。这器件集成了输入欠压检测、软启动及过载检测等众多特性。测试结果显示,NCP1252提供极高的工作能效和极低的待机能耗,适合UC38xx替代、ATX电源、适配器及其它任何要求低待机能耗的应用。
射频工程师养成培训教程套装,助您快速成为一名优秀射频工程师...
射频和天线工程师培训课程详情>>

