- 易迪拓培训,专注于微波、射频、天线设计工程师的培养
单端反激式开关电源变压器
录入:edatop.com 点击:
基于反激式变压器拓扑原理,设计了单端反激式变压器,用于电缆绝缘电阻测试仪高压电源的DC-DC逆变升压模块。提出单端反激式开关电源变压器设计时一些关键参数的选择原则和设计步骤及验证方法,总结了设计过程中的一些注意事项。使用结果表明:该设计方法在简化和明确变压器设计过程的同时,所设计的变压器应用于绝缘电阻测试仪升压模块中约250 V的逆变升压时表现出稳定的升压性能。
变压器的使用在升压和降压电源中很常见,开关电源根据不同的输出要求采用不同的变压器拓扑电路,同样的电源也采用不同的变压器拓扑实现。在所有拓扑中反激式变压器构成的升压式开关电源具有电路简单、元器件最少的优点,在小功率开关电源中经常采用。而变压器的设计需要技术人员根据一些经验参数来进行变压器的设计和绕制。会出现经验设计多于准确的参数设计,而且在高频条件下变压器的设计和制作不同于普通的工频变压器,更加需要实际经验和理论设计两者相互结合。本文结合实际设计和制作变压器的经验,提出一种工作于断续电流模式(DCM)下的反激式变压器设计方案,并给出相关参数设计方法。
1 反激式变压器的基本工作原理
图1(a)为反激式变压器的工作原理图,其中,开关管VT1的导通和截止使得原边绕组线圈产生交变电流信号。当原边绕组导通期间,次级绕组输出电压为上负下正,整流二极管VD1和VD2截止,输出电容Co和Cf放电;当原边绕组截止时次级输出电压为上正下负,整流二极管VD1和VD2导通,输出电容Co和Cf充电,与正激式电路充放电过程相反。可以从输入输出电压、电流波形关系图1(b)中得出DCM模式下的工作过程。其中PWM、UDS、IDl,IF1、Io1、Uo2分别为开关管VT1栅极脉宽调制信号、漏源极电压、整流二极管VD1和VD2电流、负载输出端Co正极性端电压波形、反馈输出端Cf正极性端电压波形。
单端反激式变压器设计流程如图2所示,首先根据逆变升压模块前后电路的需要,列出输入电压、输出电压参数、开关频率、额定输出功率等整个系统需要变压器完成的参数要求,包括Uin(min)、Dmax、F、Po(max)分别为输入直流电压最小值10 V、最大占空比、开关频率10kH-z、输出最大功率15W等参数,然后再按照下面步骤设计合适的开关变压器。
最低的交流输入电压,对应于最大的输出功率,由原边电感电流在开关管导通和截止期间电流的峰值相等和电磁感应定理得到:
占空比Dmax和反激电压Uor的关系:
2.2 磁芯的选择
高频变压器的最大承受功率Po(max)与磁芯截面积Ae和窗口面积的面积积Ap之间存在:
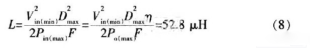
原边电感量为:
2.5 副边绕组匝数
副边绕组匝数为:
对于多路输出变压器而言,先修改前面的输出功率为各路输出功率之和,带入各路对应的UO、UF的值即可计算出各路输出的匝数。设计时,需要在变压器引入反馈绕组来调节和稳定前端脉宽调制电路的占空比,反馈电压为10 V,可以求得反馈绕组匝数为29.1匝,取整30匝。
2.6绕组线径和绕线方式
由电流密度定义可以求出绕线的最小线径:
为了减小高频干扰的影响,在计算绕组线径时,电流密度K取值比计算面积时稍微小一点,取值500 A/cm2,以使得导线线径在满足绕组电流和功率的情况下选用细导线并绕的方式绕制原边绕组,设计中采用O.025 cm线径的导线,并绕线数,取3线并绕的方式绕制原边线圈。
2.7 引入气隙
单端反激式变压器的设计和制作时必须引入气隙,否则会出现磁芯饱和,本设计和制作选择在所选EE系列磁芯两边垫磁性材料使磁回路加入适当的气隙,如图3(b)所示。
3 验证设计
3.1 验证最大磁感应强度
验证最大磁感应强度是否是超过磁芯的允许值:
3.2 验证趋肤效应的大小
高频变压器的交流损耗是由高频电流的趋肤效应以及磁芯的损耗引起的。高频电流通过导线时总是趋向于从表面流过,这会使导线的有效流通面积减小,并使导线的交流等效阻抗远高于铜电阻。由趋肤深度定义。其中,ε、F、K分别为趋肤深度、频率、趋肤系数,K对于铜导线等于1。利用这个方法可以计算出运行在频率为10 kHz时的最大导线半径,可以得出最大导线直径DAWG为1.3 mm;所有线径都小于这个线径。
由EE-25窗口尺寸和线径尺寸计算可得表1如下。
绕组方式如图4所示,其中绝缘层为0.015 cm,骨架厚度为0.1 cm,总厚度为0.1+0.025+0.0l×7+0.035+0.015×10=0.38 cm,考虑到3个绕组之间的绝缘层厚度可适当加厚,窗口宽度0.645 cm能够绕下。
将原边绕组同名端串联分压电阻后接12 V直流电压,并在同名端和开关管漏极之间加入RCD开关管保护电路,开关管栅极接PWM脉宽调制电路。脉宽调制电路是由变压器辅助绕组的输出整流电容Cf的正极性端引入的反馈电压控制和调节的TL494基本电路组成。调节PWM输出脉宽占空比为0.445,频率为10 kHz的脉宽信号。变压器次级绕组的输出整流电容Co的正极性端,经二次整流电路后输出作为接近250 V高压输出端,作为绝缘电阻测试仪高压电源。
5 结束语
设计开关变压器,对于变压器生产制作技术人员而言必须知道以下参数:磁芯型号、同名端、输出功率、原边绕组电感、工作频率、原边绕组匝数、辅助线圈匝数、原边绕组线径、反馈线圈线径、输出绕组线径以及绕线方式和注意细节,但是详细的参数列表可以方便变压器制作完成后调试和修改。此外,变压器的设计没有固定的步骤可循,特别是磁芯的选择,需要和磁芯技术人员进行沟通,单纯的依靠公式选择出来的磁芯的参数和实际的磁芯参数有较大的误差,只有获得了正确、准确的磁芯参数,带入这些参数设计出来的变压器才会和实际性能接近。
来源:电子工程网
变压器的使用在升压和降压电源中很常见,开关电源根据不同的输出要求采用不同的变压器拓扑电路,同样的电源也采用不同的变压器拓扑实现。在所有拓扑中反激式变压器构成的升压式开关电源具有电路简单、元器件最少的优点,在小功率开关电源中经常采用。而变压器的设计需要技术人员根据一些经验参数来进行变压器的设计和绕制。会出现经验设计多于准确的参数设计,而且在高频条件下变压器的设计和制作不同于普通的工频变压器,更加需要实际经验和理论设计两者相互结合。本文结合实际设计和制作变压器的经验,提出一种工作于断续电流模式(DCM)下的反激式变压器设计方案,并给出相关参数设计方法。
1 反激式变压器的基本工作原理
图1(a)为反激式变压器的工作原理图,其中,开关管VT1的导通和截止使得原边绕组线圈产生交变电流信号。当原边绕组导通期间,次级绕组输出电压为上负下正,整流二极管VD1和VD2截止,输出电容Co和Cf放电;当原边绕组截止时次级输出电压为上正下负,整流二极管VD1和VD2导通,输出电容Co和Cf充电,与正激式电路充放电过程相反。可以从输入输出电压、电流波形关系图1(b)中得出DCM模式下的工作过程。其中PWM、UDS、IDl,IF1、Io1、Uo2分别为开关管VT1栅极脉宽调制信号、漏源极电压、整流二极管VD1和VD2电流、负载输出端Co正极性端电压波形、反馈输出端Cf正极性端电压波形。

单端反激式变压器设计流程如图2所示,首先根据逆变升压模块前后电路的需要,列出输入电压、输出电压参数、开关频率、额定输出功率等整个系统需要变压器完成的参数要求,包括Uin(min)、Dmax、F、Po(max)分别为输入直流电压最小值10 V、最大占空比、开关频率10kH-z、输出最大功率15W等参数,然后再按照下面步骤设计合适的开关变压器。

最低的交流输入电压,对应于最大的输出功率,由原边电感电流在开关管导通和截止期间电流的峰值相等和电磁感应定理得到:

占空比Dmax和反激电压Uor的关系:


2.2 磁芯的选择
高频变压器的最大承受功率Po(max)与磁芯截面积Ae和窗口面积的面积积Ap之间存在:




原边电感量为:


2.5 副边绕组匝数
副边绕组匝数为:

对于多路输出变压器而言,先修改前面的输出功率为各路输出功率之和,带入各路对应的UO、UF的值即可计算出各路输出的匝数。设计时,需要在变压器引入反馈绕组来调节和稳定前端脉宽调制电路的占空比,反馈电压为10 V,可以求得反馈绕组匝数为29.1匝,取整30匝。
2.6绕组线径和绕线方式
由电流密度定义可以求出绕线的最小线径:

为了减小高频干扰的影响,在计算绕组线径时,电流密度K取值比计算面积时稍微小一点,取值500 A/cm2,以使得导线线径在满足绕组电流和功率的情况下选用细导线并绕的方式绕制原边绕组,设计中采用O.025 cm线径的导线,并绕线数,取3线并绕的方式绕制原边线圈。
2.7 引入气隙
单端反激式变压器的设计和制作时必须引入气隙,否则会出现磁芯饱和,本设计和制作选择在所选EE系列磁芯两边垫磁性材料使磁回路加入适当的气隙,如图3(b)所示。

3 验证设计
3.1 验证最大磁感应强度
验证最大磁感应强度是否是超过磁芯的允许值:

3.2 验证趋肤效应的大小
高频变压器的交流损耗是由高频电流的趋肤效应以及磁芯的损耗引起的。高频电流通过导线时总是趋向于从表面流过,这会使导线的有效流通面积减小,并使导线的交流等效阻抗远高于铜电阻。由趋肤深度定义。其中,ε、F、K分别为趋肤深度、频率、趋肤系数,K对于铜导线等于1。利用这个方法可以计算出运行在频率为10 kHz时的最大导线半径,可以得出最大导线直径DAWG为1.3 mm;所有线径都小于这个线径。
由EE-25窗口尺寸和线径尺寸计算可得表1如下。

绕组方式如图4所示,其中绝缘层为0.015 cm,骨架厚度为0.1 cm,总厚度为0.1+0.025+0.0l×7+0.035+0.015×10=0.38 cm,考虑到3个绕组之间的绝缘层厚度可适当加厚,窗口宽度0.645 cm能够绕下。

将原边绕组同名端串联分压电阻后接12 V直流电压,并在同名端和开关管漏极之间加入RCD开关管保护电路,开关管栅极接PWM脉宽调制电路。脉宽调制电路是由变压器辅助绕组的输出整流电容Cf的正极性端引入的反馈电压控制和调节的TL494基本电路组成。调节PWM输出脉宽占空比为0.445,频率为10 kHz的脉宽信号。变压器次级绕组的输出整流电容Co的正极性端,经二次整流电路后输出作为接近250 V高压输出端,作为绝缘电阻测试仪高压电源。
5 结束语
设计开关变压器,对于变压器生产制作技术人员而言必须知道以下参数:磁芯型号、同名端、输出功率、原边绕组电感、工作频率、原边绕组匝数、辅助线圈匝数、原边绕组线径、反馈线圈线径、输出绕组线径以及绕线方式和注意细节,但是详细的参数列表可以方便变压器制作完成后调试和修改。此外,变压器的设计没有固定的步骤可循,特别是磁芯的选择,需要和磁芯技术人员进行沟通,单纯的依靠公式选择出来的磁芯的参数和实际的磁芯参数有较大的误差,只有获得了正确、准确的磁芯参数,带入这些参数设计出来的变压器才会和实际性能接近。
来源:电子工程网
射频工程师养成培训教程套装,助您快速成为一名优秀射频工程师...
天线设计工程师培训课程套装,资深专家授课,让天线设计不再难...
上一篇:理想的电源电流变压器设计方案
下一篇:电子式霓虹灯变压器的设计
射频和天线工程师培训课程详情>>

