- 易迪拓培训,专注于微波、射频、天线设计工程师的培养
DC/DC转换器数据表-静态电流解密:第二部分
录入:edatop.com 点击:
作者:德州仪器公司Frank De Stasi
在本系列第一篇结尾处,我谈到了无负载工作电流。但在继续这个话题前,还有一些关于静态电流的信息需要您先了解一下。
很多DC/DC转换器具有一个为转换器内部电路供电的内部低压降线性稳压器 (LDO)。在目前的稳压器中,LDO的输入通常作为转换器的一个外部引脚可用。它通常被称为“偏置引脚”,不过,请先查看数据表,以确保转换器上有这个引脚。当这个输入被连接至稳压器的输出上时,这个偏置电流会作为转换器输出上的一个额外负载。与其它所有负载一样,这个负载按照输入电压与输出电压之间的比率向下转换。由于它减小了输入电流,提高了效率,所以是一个首选的连接方式。
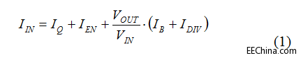
现在让我们再回到无负载输入电流。你有时在数据表中找不到这个输入电流,或者它未在你所需条件下被指定。在这个情况下,你可以使用方程式1来估算出一个降压稳压器的无负载输入电流:

由于这个方程式没有将转换器中的损耗算在内,所以它给出的是一个最佳情况下的估算值。第一个被称为IQ的数据是我在上一部分中谈到的非开关式静态电流。下一个数据项,IEN 是进入稳压器使能输入的电流。很多转换器需要一定大小的偏置电流流入使能输入。如果使能引脚被连接至输入电源,以接通稳压器的话,那么你必须将这个电流考虑在内;否则的话,这个值为零。数据项IDIV 是反馈分频器内的电流,使用方程式2,可以很容易地计算出这个值:

数据项IB 代表流入我刚刚谈到的偏置输入的电流。我们以3.5V至36V,3A同步降压转换器SIMPLE SWITCHER® LM43603为例。这个数据表中有以下这些典型值(表1)。

表1:LM43603数据表
如果你正在将一个12V输入转换为一个3.3V输出,并且反馈分频器的总电阻为1M Ω的话,方程式1和2可给出以下的无负载输入电流值:

需要注意的一点是,对于LM43603来说,如表1中所示,这个数据表中所表示的是一个典型条件下的无负载输入电流。
我计算出的30µA电流值有点不同,不过对于粗略估算来说,这个值已经十分接近了。
这些方程式告诉你无负载输入电流取决于输入电压、输出电压和其它“静态”电流。你会发现,输入电流会随着输出电压的增加和输入电压的减小而变大。所以,最好的做法就是使用方程式来估算出无负载输入电流,然后测量真实应用条件下的实际值。
你还可以使用效率曲线来计算DC/DC转换器的输入电流,不过这个电流值不是无负载情况下的电流值。理论上,无负载时的效率为零,所以,你必须使用我在本文中介绍的方法估算出无负载电源电流。在任何其它的负载条件下,你可以使用数据表中的效率曲线,连同方程式3来完成计算:

在这里,η是所需条件下的效率值。
以SIMPLE SWITCHER LM22670 3A降压稳压器的数据表为例,负载为1.5A,输入电压和输出电压分别为5.5V和3.3V情况下的效率大约为91%。这使你的输入电流大约为:

使用和估算数据表中找到的输入电流并不难,前提是必须确保你看到的值适用于特定的应用条件。
其他资源:
在本系列第一篇结尾处,我谈到了无负载工作电流。但在继续这个话题前,还有一些关于静态电流的信息需要您先了解一下。
很多DC/DC转换器具有一个为转换器内部电路供电的内部低压降线性稳压器 (LDO)。在目前的稳压器中,LDO的输入通常作为转换器的一个外部引脚可用。它通常被称为“偏置引脚”,不过,请先查看数据表,以确保转换器上有这个引脚。当这个输入被连接至稳压器的输出上时,这个偏置电流会作为转换器输出上的一个额外负载。与其它所有负载一样,这个负载按照输入电压与输出电压之间的比率向下转换。由于它减小了输入电流,提高了效率,所以是一个首选的连接方式。
现在让我们再回到无负载输入电流。你有时在数据表中找不到这个输入电流,或者它未在你所需条件下被指定。在这个情况下,你可以使用方程式1来估算出一个降压稳压器的无负载输入电流:

由于这个方程式没有将转换器中的损耗算在内,所以它给出的是一个最佳情况下的估算值。第一个被称为IQ的数据是我在上一部分中谈到的非开关式静态电流。下一个数据项,IEN 是进入稳压器使能输入的电流。很多转换器需要一定大小的偏置电流流入使能输入。如果使能引脚被连接至输入电源,以接通稳压器的话,那么你必须将这个电流考虑在内;否则的话,这个值为零。数据项IDIV 是反馈分频器内的电流,使用方程式2,可以很容易地计算出这个值:

数据项IB 代表流入我刚刚谈到的偏置输入的电流。我们以3.5V至36V,3A同步降压转换器SIMPLE SWITCHER® LM43603为例。这个数据表中有以下这些典型值(表1)。

表1:LM43603数据表
如果你正在将一个12V输入转换为一个3.3V输出,并且反馈分频器的总电阻为1M Ω的话,方程式1和2可给出以下的无负载输入电流值:

需要注意的一点是,对于LM43603来说,如表1中所示,这个数据表中所表示的是一个典型条件下的无负载输入电流。
我计算出的30µA电流值有点不同,不过对于粗略估算来说,这个值已经十分接近了。
这些方程式告诉你无负载输入电流取决于输入电压、输出电压和其它“静态”电流。你会发现,输入电流会随着输出电压的增加和输入电压的减小而变大。所以,最好的做法就是使用方程式来估算出无负载输入电流,然后测量真实应用条件下的实际值。
你还可以使用效率曲线来计算DC/DC转换器的输入电流,不过这个电流值不是无负载情况下的电流值。理论上,无负载时的效率为零,所以,你必须使用我在本文中介绍的方法估算出无负载电源电流。在任何其它的负载条件下,你可以使用数据表中的效率曲线,连同方程式3来完成计算:

在这里,η是所需条件下的效率值。
以SIMPLE SWITCHER LM22670 3A降压稳压器的数据表为例,负载为1.5A,输入电压和输出电压分别为5.5V和3.3V情况下的效率大约为91%。这使你的输入电流大约为:

使用和估算数据表中找到的输入电流并不难,前提是必须确保你看到的值适用于特定的应用条件。
其他资源:
· 了解更多关于SIMPLE SWITCHER LM43603 和 LM22670 降压稳压器的信息。
· 阅读“DC/DC转换器数据表——静态电流解密:第一部分”。
· 使用 WEBENCH 电源设计工具 开始设计。了解更多关于德州仪器的 SIMPLESWITCHER DC/DC稳压器 产品组合信息。
· 在
德州仪器在线支持社区
上提交问题。
射频工程师养成培训教程套装,助您快速成为一名优秀射频工程师...
天线设计工程师培训课程套装,资深专家授课,让天线设计不再难...
上一篇:高集成度的小家电电磁炉开关电源芯片SM7055系列
下一篇:高性价比的可控硅调光led恒流驱动芯片方案SM7301C
射频和天线工程师培训课程详情>>

