- 易迪拓培训,专注于微波、射频、天线设计工程师的培养
UCC28019A LED照明应用负载动态性能优化解决方案
作者:Richard Yang 德州仪器 (TI)
摘要
用于高功率PWM调光LED街道照明的90Vac到305Vac宽输入范围应用越来越多,而UCC28019A控制器非常适合于这种应用。但是,输出负载PWM调光带来的PFC电感噪声问题,可能是主要问题。本文中,我们将基于小信号模型分析这种现象的根本原因,并提出解决方案。为了验证这种建议解决方案的有效性,我们使用UCC28019A平均模型并利用实验来进行检验。经证明,实验结果与分析结果和仿真结果非常吻合。
1、引言
CCM工作的平均电流控制是最为典型的一种控制方案,其广泛用于高功率APFC转换器,例如:基于UC3854的转换器等。相比峰值电流控制,它拥有许多优势,例如:无需外部补偿斜率、更高的检查电流信号噪声抑制度以及更低的输入电流THD。但是,在芯片内部使用乘法器的传统CCM控制方案,让外部电流设计变得复杂。最近,使用1-D控制模型的新型CCM(一种8引脚解决方案),例如:TI UCC28019A控制器等,成为广大工程师们的首选。
UCC28019A控制器利用开关式转换器的脉冲和非线性特点,实现对整流电压或者电流平均值的即时控制。设计这种控制方案的目的是,提供比其它PFC控制器更快的动态负载响应和更好的输入扰动抑制。
在实际工程中,大多数工程师都对宽输入范围UCC28019A控制器的高PF值以及无输出过冲导通升压的优异性能印象深刻。这个优点让UCC28019A比传统BCM PFC控制器更加适合于这种应用。特别是在高功率PWM调光LED街道照明的90到300Vac宽输入范围应用越来越多的情况下,尤其如此。但是,当使用动态响应时,其独特的环路特性会引起可见噪声问题。
鉴于上述问题,本文的目标是为你介绍一种能够改善这种动态性能的合适解决方案。首先,第2小节详细介绍了这个问题。为了研究清楚其原因,第3小节对电流环路小信号进行了分析;基于此,详细说明了其根本原因,并提出一种正确的解决方案。为了对这种解决方案进行完整的验证,我们还使用相应的UCC28019A平均模型,在第4小节对实验测试和结果进行验证。最后,结合实际工程应用,文章概括了这种解决方案的一些设计技巧。
2、UCC28019A负载动态可见噪声描述
下列两种情况可能会出现动态噪声问题:
未对环路进行优化时负载上升情况(参见图1),这时PFC峰值电感电流即刻增加,从而导致铁氧体感应器饱和。

图1 使PFC电感饱和的负载上升情况
图2显示了OVP运行期间未控制环路时的负载下降工作情况。在这一过程中,无规律频率引起PFC高峰值电感电流,从而导致可见噪声。

图2导致PFC电感饱和的负载下降
关于LED—就户外应用而言,这种现象受到抑制,原因是后期PWM负载调光要求。
3、基于UCC28019A工作原理的根本原因分析
小信号建模是研究转换器控制环路稳定性的最实用方法。本小节重点讨论UCC28019A内部电流环路的主小信号传递函数,因为电压环路电压扰动下的电感电流响应是我们的主要研究目标。
3.1 根据UCC28019A负载上升期间Vcomp变化对PFC电感电流噪声进行分析
就传统PFC转换器而言,实现功率校正的关键是让输入电流追踪输入电压。[1]文件详细说明了1-D控制电路实现。为了研究其小信号特性,本小节中,我们只介绍小信号传递函数的实现。实际上,在UCC28019A内部,还有2个环路:电流环路和电压环路。
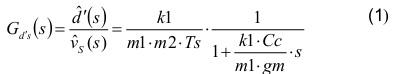
对APFC转换器的1-D控制方案深入研究后发现,1-D功能等效电路可移至电流环路的控制模块。请参见[2]的内部功能模块。图3显示了在UCC28019A内部使用1-D控制方案的补偿电流环路:

图3基于Cc的电流补偿环路
( 为对PFC、Icomp和1-D电流检测电阻器电压产生扰动的小信号;m1和m2为非线性增益,k1为内部控制器常量,Cc为补偿电容器,Ts为开关时间)。
补偿电流环路的传递函数 推导如下:

至于功率因数校正,主要问题是追踪输入电压的输入电流的工作原理。我们知道,在90到120Hz低频范围,输入电流始终追踪输入电压;因此,电流环路是唯一的低频特性问题。与UC3854一样,UCC28019A的功率因数原则也结合了电流环路的低频特性。由方程式(1),我们可以看到,稳定工作状态下 的低频增益为:

另外,在低频下:

在低频下,组合方程式(2)和(3),结果为:

参见升压转换器原则:

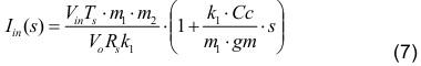
最后,追踪输入电压的输入电流公式推导如下:

它表明达到了PF。由前面公式,基于方程式(1)的标准公式为:

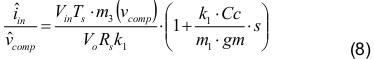
Vcomp的Iin扰动,可得到:

其中
。使用MathCAD表达式如下:


图4 Vcomp下m3(Vcomp)曲线
由(8),我们知道,
取决于
的稳定值,其表明某种稳定工作状态下,Iin电流仍然受到这些参数的扰动。这同时也表明,Vcomp快速变化以后PFC电流响应迅速。
从前面分析,我们可以得出这样的结论:如果在注入某个Vcomp扰动时PFC电感电流必须有一些小变化,则同时必须降低
的值。但是,在实际功能优化设计过程中,这很难控制。因此,标准解决方案依赖于整个电压环路闭合时Vcomp变化降低的程度。
3.2 UCC28019A负载上升期间UCC28019A Vcomp变化根本原因分析
UCC28019A产品说明书对其电压误差放大器的描述如下:

图5电压环路内部原理
当5%以上的输出电压扰动出现在VSENSE输入时,放大器脱离线性运行。在欠压状态下,UVD功能调用EDR,其立即将电压误差放大器跨导从42µs增加至440µs。这种高增益促使补偿电容器更迅速地充电至新的工作电平。这表明,EDR产生大量的Vcomp充电量,从而极大提高Vcomp升压,特别是当输出电流急剧增加时。所以,如果根据EDR功能要求降低Vcomp影响,则必须在可能的情况下,稍微提高电压环路响应速度,以避开UVP点。如图6所示,我们必须稍微降低电压反馈电路(通常为Ccv2)响应速度,使其稍快于环路响应时间。

图6电压反馈补偿环路
3.3 UCC28019A控制器降压期间PFC电感电流噪声分析
在大多数情况下,PFC负载下降过程中可能会出现PFC电感噪声。实验表明,当输出OVP被触发时出现这种电感噪声。另外,如果OVP保持被触发状态则这种噪声可能会存在相当长一段时间,特别是当负载被切换至轻负载模式时。因此,噪声会与输出OVP保护模式紧密相关。
产品说明书称,UCC28019A拥有非常简单的OVP保护模式—如果OVP保护被触发,则其直接关闭驱动器。但在实际实验中,我们发现,驱动器在这种状态下出现异常,并且电感电流也有一些异常高峰值电击。
许多实验表明,Vcomp随这种过程非常缓慢地下降。如果缩短该降压时间,则噪声减少。因此,一种好的解决方案是,当OVP被触发时,使用一些外部方法来对补偿电容器快速放电。一旦Vcomp电压下降,输出也脱离OVP电平,并且不再存在噪声问题。
3.4 UCC28019A负载下降期间PFC电感电流噪声解决方案
正如3.3小节所分析的那样,有一种方法可以快速地降低Vcomp电压。在一些情况下,这不会存在严重的问题,因为我们选择了小值补偿电容器,噪声不那么明显。但在大多数情况下,当PCB布局不理想且没有达到更高PF值时,电压补偿环路便没有优化的余地,但负责下降噪声却仍然很明显;在这种情况下,要求使用外部电路来解决这个问题。
建议解决方案如下:
为了易于理解,我们使用标准OP和TL431或者TL103,实现电路如图7所示。

图7 建议解决方案补偿环路简易原理图
图8显示了使用TL103的完整解决方案。正常情况下,TL103的一半可用于高温保护,这是实际工程中安全标准所要求的。

图8 使用TL103改善负载动态性能的完整解决方案
在实际设计中,这种解决方案的重点必须达到R1、R2和TL103高容限的下列要求:
4、利用UCC28019A平均模型和实际实验验证建议解决方案
为了验证上一小节提到的解决方案的可行性,我们建立UCC28019A平均模型,并进行仿真。与此同时,制造实验样机,对解决方案进行验证。
仿真模型与实验样机基于表1所列参数。
表1 样机参数列表

图9 UCC28019A应用的平均模型
当PFC从无负载转为全负载瞬态时,而EDR仍然工作在PFC工作状态下,PFC电感出现峰值电流不可避免;但是,不存在电感饱和问题,也没有可见噪声。但是,当PFC从全负载转为无负载瞬态时,电感存在噪声。图10显示了初始应用的仿真结果。

图10 无TL103的输出和电感电流仿真结果
从前面仿真结果,我们知道,当PFC负载下降时,可以清楚地观察到噪声。现在,图9描述了这个外部TL103;图11显示了输出电压、电感电流和OP输出的仿真结果。

图11 输出、电感电流与TL103输出的仿真结果
由图11所示仿真结果,我们可以看到,噪声消失了,而TL103对电压环路的电容器电流进行放电。因此,输出电压可以迅速地进入调节范围。但是,一个很重要的问题是,无负载功耗要求不得影响无负载工作。
为了对实际工作情况进行验证,我们在样机上做了一个实验。图12显示了基于初始应用的测量结果;在输出负载下降过程中我们可以清楚地看到噪声的存在。但是,使用改进之后的解决方案,噪声消失了(参见图13),其与仿真结果相同。

图12 无TL103的输出和PFC电感电流测量结果

图13 输出、电感电流与TL103输出的测量结果
5 结论
本文基于初始UCC28019A应用,详细说明了输出负载上升与下降期间噪声问题的根本原因。对于PWM调光LED街道照明应用来说,这是一个急需解决的问题。我们为你提出了相应的解决方案,并通过理论分析和仿真以及实验测量,对其有效性进行了验证。结果表明,它们非常符合要求。
总之,我们通过建议TL103外部电路,可以对电压环路参数进行优化以避免负载上升噪声,同时还可以避免负载下降噪声。注意,TL103的另一部分可在实际工程中用于高温保护,其意味着这种建议外部电路具有极大的使用价值。
射频工程师养成培训教程套装,助您快速成为一名优秀射频工程师...

