- 易迪拓培训,专注于微波、射频、天线设计工程师的培养
高频和微波功率基准及其应用研究----微量热计基本理论研究(三)
2.4.2.3有效效率偏差被忽略的原因
由式(2-40)可见,有效效率和效率的偏差由G21/G10决定,虽然不可能精确测得热导值,但采用下面的方法可以近似估计G21/G10。
和量热计一样,热电堆对热敏电阻处功率的稳态响应系数K2和热电堆对功率座壁处功率的稳态响应系数K1可表示为

其中,e2和e1分别是热电堆对热敏电阻处功率P2和功率座壁处功率P1的输出电压。根据式(2-45),可实际测量得到K2和K1的值,实验结果表明热电堆对不同位置功率的稳态响应系数不同,K2略大于K1。
由于热电堆的输出电压正比于温度变化,由式(2-33)和(2-41)可知,K2、K1可用G21、G10表示,即

以往的研究和实验表明,对波导热敏电阻座,K2和K1的差异在0.1%以内 ,考虑到测量误差,可以近似估计G21/G10小于0.5%,波导热敏电阻座的效率一般大于95%,当效率为95%时,根据式(2-40)计算的有效效率与效率偏差小于0.025%,而波导微量热计有效效率的测量误差一般大于0.2%,所以一直没有发现这项偏差,波导微量热计理论中没有考虑这一偏差的影响。
同轴微量热计是在波导微量热计基础上发展起来的,同样没有考虑到这一偏差。对N型同轴热敏电阻座,K2和K1的差异在1%以内 ,可以近似估计G21/G10小于2%,N型同轴热敏电阻座的效率一般大于95%,当效率为95%时,有效效率与效率偏差在0.1%以内,而N型同轴微量热计的测量误差在0.5%左右,很难发现偏差。
实际上,由于一直错误的认为Psub = P2RF,即直流替代功率等于热敏电阻吸收的高频和微波功率,所以以往的微量热计的有效效率计算式为

由式(2-37)和(2-47)比较可知,式(2-47)计算的并不是有效效率,它的计算结果会比有效效率小,更接近效率。由式(2-43),可以求得

用效率表示式(2-48),得

式(2-49)代入式(2-47),得

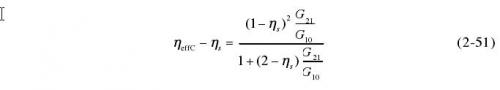
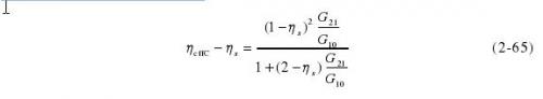
ηeffC与效率的差为

根据式(2-51),效率ηs =0.9、G21/G10在2%以内时,被修正的有效效率值ηeffC与效率的差小于0.02%.

这也是一直以来,高频和微波功率计量研究从未涉及到这项偏差的原因。但随着测量频率的提高,效率逐渐下降,某些热敏电阻功率座G21/G10较大,这项偏差逐渐显现出来。
以NIST的2.4毫米接头微量热计中的热敏电阻功率座为例,这是Agilent公司专为NIST设计制作的功率座,其结构如图2-13所示。由于需要覆盖50MHz~50GHz的频段范围,现有的热敏电阻珠结构不能使用,改用半导体技术结合热电耦功率传感器结构,设计出具有热敏电阻功率座特性的测辐射热功率传感器。
由图2-13可见,热敏电阻的功能由三部分组合实现,其中50欧姆负载实现热敏电阻的吸收高频和微波功率的功能,1kΩ测温电阻紧靠负载,测量负载的温度变化,直流偏置电路提供直流偏置功率给1kΩ电阻,保持1kΩ测温电阻的阻值不变。

这一结构尽管实现了热敏电阻功率座的测辐射热功能,但特性较差,其G 21 /G 10接近4,且有效效率范围为(84%~94%)。
为验证和比较各国在2.4mm接头型式上的功率量值,美国NIST组织进行了2.4mm接头型式功率国际比对。这次比对使用了两个比对标准,代号分别是3629和3815,除了英国NPL和美国NIST用各自的同轴基准进行比对,其他参加比对的实验室均是采用波导基准加波导同轴转换器进行比对。图2-14是2.4毫米接头功率国际比对在45GHz和50GHz这两个频率点的数据,可以看出NIST在频率高端的数据明显高于采用量热计功率基准的英国NPL。
图2-15给出了在全部比对频率点上,NIST和NPL对两个比对标准测量结果的差值。其中第三条曲线是根据式(2-51)计算出的NIST功率基准的理论偏差,可以看出,NIST对NPL的数据有系统偏差,且与式(2-51)计算出的理论偏差较为一致,这说明本文对有效效率所做的分析是正确的。


2.4.3 功率测量中的热等效误差
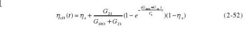
在微量热计中定标过的热敏电阻功率座可用来进行功率测量,图2-16为测量示意图,其测量示意图与微量热计的升温方式相似,有效效率表达式也相同。但由于功率座直接连接到功率分配器等没有隔热结构的器件,功率座壁与它们间的热导G10O要远大于到微量热计中等温绝热壁的热导G10。由式(2-37)得

稳态表达式为

从式(2-52)可知,在高频和微波功率刚输入到功率座时,其有效效率等于效率,随着时间的增加,有效效率逐渐增大,最终达到的稳态值是式(2-53)。

本文将测量功率时由热敏电阻功率座换热条件引起的有效效率变化带来的功率测量误差称为功率测量的热等效误差。
功率测量中有两种情况的热等效误差:
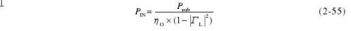
1)微量热计定标后的热敏电阻功率座直接用于功率测量。根据功率测量公式,热敏电阻功率座入射功率PIN计算式为

其中,ηI为微量热计定标的有效效率,ΓL是功率座的反射系数,Psub是PIN在热敏电阻上的直流替代功率。而实际上输入功率PIN应为

其中ηO为实际测量时的有效效率,用式(2-52)表示。
根据以上分析可知,这种情况下功率测量的热等效误差表达式为

相对热等效误差表达式为

根据热敏电阻功率座校准因子的定义,式(2-57)可写作

其中Ko为实际测量时的校准因子,KI为微量热计定标得到的校准因子。式(2-58)说明,功率测量的相对热等效误差即为校准因子的相对偏差。
对采用等温方式定标的功率座,其ηI为ηS,则式(2-58)可表示为

稳态表达式为

对采用升温方式定标的功率座,若其有效效率ηI已按式(2-50)修正,由于ηI近似等于效率,可认为其热等效误差的情况与等温方式相同。
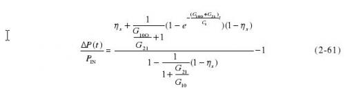
若未修正,ηI表示式为(2-39),则式(2-57)可表示为

稳态表达式为

2)微量热计定标后的热敏电阻功率座用于量值传递。在第4章中将对功率量值传递进行详细的研究,在这里只就最简单的功率量值传递方法-交替比较法进行阐述,因为交替比较法是其他方法的基础,所以这里的结论对其他量值传递方法也同样适用。
图2-17是交替比较法的原理框图,因为热敏电阻功率座一般用于量值传递,已经很少用于功率测量,所以这里只考虑标准座是热敏电阻功率座而被较功率座是非热敏电阻功率座的情况。根据交替比较法的原理,可得

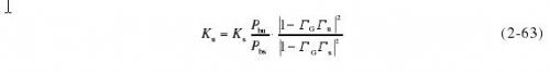
其中Ks和Ku分别是标准座和被校座的校准因子,Pbs和Pbu分别是标准座和被校座的功率指示器示数。

在Ks应为Ko而实际使用KI计算Ku时,根据式(2-63)可以推导得到Ku的相对偏差为

其中KuO和KuI分别为根据KO和KI计算的Ku值。由式(2-64)可见,在使用热敏电阻功率座进行量值传递时,功率测量的热等效误差也被传递了。
2.4.4热等效误差的减小
根据以上的分析可见,无论微量热计采用哪种定标方式都会带来热等效误差,误差的大小除了与热敏电阻功率座内外的热导有关,与其效率有关外,还与测量时间有关,所以无法对这项误差进行补偿,只能在微量热计定标和功率两个环节采取措施,使在微量热计中的有效效率定标值和功率测量中的有效效率尽可能接近效率,以减小热等效误差对功率测量的影响。
通过对微量热计中有效效率的分析可知,对升温方式的微量热计来说,为了减小有效效率和效率的偏差,应根据式(2-50)对有效效率测量结果进行修正。如上一节所述,ηeffC与效率的差为

尽管对有效效率的修正能有效的减小其与效率的偏差,但当G21/G10较大时,修正的作用有限。例如当效率ηs =0.9,G21/G10 =1时,修正后的偏差约为0.5%.图2-18给出了不同条件下,升温方式修正后的有效效率与效率偏差曲线。
从图2-18可以看出,应对用于升温方式微量热计的热敏电阻功率座特性有严格的要求,效率不应低于85%,G21/G10不应大于0.1,否则的话,相对于等温方式和量热计方式功率基准的偏差过大,不利于世界功率量值的统一。这也是NIST在国际比对后急于重新设计和加工其热敏电阻功率座的原因。
对于采用等温方式的微量热计来说,定标得到的有效效率值就是效率,无须改进和修正。加拿大的波导功率基准和第3章将介绍的我国宽带同轴功率基准均采用等温方式,国际比对结果证明了等温方式得到的有效效率和修正后的升温方式得到的有效效率的一致性。
射频工程师养成培训教程套装,助您快速成为一名优秀射频工程师...
天线设计工程师培训课程套装,资深专家授课,让天线设计不再难...
上一篇:组合混联式充电电源及其功率均分策略研究
下一篇:安森美的智能手机电源管理方案

