- 易迪拓培训,专注于微波、射频、天线设计工程师的培养
高频和微波功率基准及其应用研究----微量热计基本理论研究
第2章微量热计基本理论研究
2.1引言
如1.2.2所述,高频和微波功率量值传递的起点是连续波小功率功率基准,其他不论是中、大功率标准,还是脉冲和峰值功率标准,其量值均是自连续波小功率功率基准传递而来。
世界各国的功率基准均采用量热的方法,即采用量热计法或微量热计法建立功率基准,因为这两种方法的理论研究比较成熟,尽管已经沿用了几十年,所获得的准确度在目前仍是最高的。各国一直在不断研制新的量热计和微量热计功率基准以满足不断出现的新传输线型式和更宽频带的功率量值溯源要求。
2.2量热计
微量热计是从量热计发展而来的,量热计理论是微量热计理论的基础。量热计,顾名思义是测量热量或热能的仪器,实际是一种将被测量的高频或微波能量转换成热能来测量功率的仪器。
2.2.1量热计基本原理
量热计吸收功率的负载有干负载(干式量热计)和水负载(流量热计)之分,前者适于小功率的计量,后者适于中、大功率的计量。由于量热计是通过对温度变化及一些电学基本量(如电压、电阻)的计量来求得功率的,它的测量不确定度较小,所以干式量热计被用于小功率的国家计量基准。利用热效应测量功率是功率测量最古老的一种方法,但是如1.2.2所述,现在用作功率基准的量热计都是在20世纪50年代量热计的基础上发展起来的。
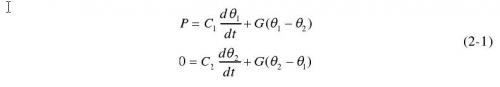
干负载式量热计的基本组成如图2-1,包括一个用来吸收功率的负载、用来连接输入和负载的隔热传输线和一个温度传感器。负载被放在一个隔热的容器里,设负载温度为θ1,可由温度传感器测得,并设负载的热容为C1,隔热容器的温度为θ2,热容为C2,且C2>>C1,热绝缘传输线的热导为G.则当一个恒定的功率P加到负载上后,由热传递原理,该系统的热平衡方程为

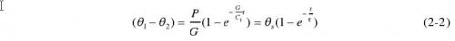
求解式(2-1),并由C2>>C1可得

其中,θs =P/G被称为稳态温升,τ=C1/G是系统热时间常数。若功率P加入前,系统处于热平衡状态(θ1 =θ2),则式(2-2)就是负载在吸收功率P后的温度变化,其稳态温升可以用来作为被测功率的量度,当所加的功率一定时,量热体的绝热程度越好,即热导G越小,θs越大,功率灵敏度也越高,但是热导越小,时间常数越大,量热计平衡时间增长,会给实际使用带来麻烦。

无需等待量热计达到稳态,也可以根据式(2-2)由两个或更多不同时刻的负载温度计算出稳态温升和时间常数,早期的一些量热计就采用了这种方法,但因为这种测量方法难以获得很高的准确度,现在只能用于量热计特性和测量结果的核验。
2.2.2双负载式量热计
用以建立国家小功率计量基准的量热计多数采用孪生双负载式。这种量热计是建立在直流(或低频)功率替代高频和微波功率基础上的,它的基本结构是在一个隔热容器内放置两个热学性能完全相同的量热体A和B(参见图2-2,量热体内有吸收被测功率的负载。被测功率和用于替代的直流功率均加于其中一个量热体,称之为工作(有源)量热体,另一个量热体B称为参考量热体,对它不加任何功率,仅用作温度参考。在量热计中,工作量热体在吸收高频和微波功率后温度升高,热电堆可以检测该量热体A与B之间的温差热电势,根据功率和热电势之间的关系来确定被测功率。功率和热电势之间的关系通常采用替代技术来校准,亦即用已知的直流(或低频)功率替代被测高频和微波功率加于工作量热体。由于孪生双负载的对称性,温差随环境温度漂移的特性得到改善,可以降低对环境温度的要求。

图2-3是图2-2的传热模型。图中,C 1和C 2分别为量热体A和B的热容;θ1和θ2分别为其温度;G 1和G 2分别为它们对隔热罩的热导;G m为两个量热体之间的热导;θ0为隔热罩的温度。由热传递原理,当量热体A上加功率P 1时,该系统的热平衡方程式为

解方程式(2-3),则有

如果量热计满足热对称条件,即G1/C1=G2/C2。解方程式(2-4),两个量热体之间的温差为

稳态温差为

式中,θs为稳态时的温差。τ为热时间常数,用式(2-7)表示,

由式(2-6)可见,稳态温差θs与所加的功率P 1成正比;因此,可以作为被测功率的量度。当功率P 1一定时,热阻R m越大,则稳态温差越大。但是,热阻R m增大,τ也增大,这将使量热计达到稳定的时间增长。
当量热计加入高频和微波功率时,由式(2-6),热电堆两端产生的稳态热电势ERF与负载吸收的功率PgL成正比。即

式中ERF代表热电堆对PgL的响应系数。
当量热计输入端加入直流校准功率P DC时,热电堆产生的稳态热电势为

式中,KDC为热电堆对PDC的响应。
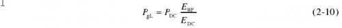
假定,高频和微波功率P gL和直流校准功率P DC对热电堆有同样的响应,即KDC =KRF,按上述分析,PgL应为

式(2-10)是量热计测量高频和微波功率的基本公式,只需再测得隔热传输线的传输效率,就可以得到量热计吸收的总功率。
量热式功率计的优点是测量误差小、可过载能力强、动态范围大(可达30~40dB)、阻抗匹配好。
量热计的缺点是结构复杂,时间常数大(测量时间长),对环境温度及配套计量设备稳定性要求高。量热计更适合用于频段较高的厘米波及毫米波波段,因为频段越高,相应负载的热容量也越小。
为缩短量热计的时间常数,美国NBS率先研制了一种自动反馈式量热计,通过自动反馈系统控制加在参考量热体上的直流功率来保持工作和参考量热体间的温差恒定。图2-4是一种自动反馈式量热计的原理图,通过自动反馈系统控制加在工作量热体上的辅助加热直流功率,保持工作和参考量热体间的温差恒定。式(2-3)在添加了直流功率项后也使用于对自动反馈式量热计的热分析,可以证明在保持工作和参考量热体间的温差恒定的条件下,直流功率可以作为被测功率的量度。
如1.2.2所述,一般将分别通过测量温度变化来测量功率的方式称为升温方式,保持温度或温差不变的方式为等温方式。

2.3微量热计的经典理论
微量热计是用测辐射热器座作为量热体的量热计,微量热计的工作原理实际上是测辐射热器功率计和量热计的组合。它既利用量热计高准确度的特点,又利用热敏电阻式功率计响应时间快,测量方便等优点,用热敏电阻功率座作为量热计负载,借助于量热计技术,精确测量热敏电阻功率座的有效效率。
MavPherson和Kerns设计的微量热计是所有微量热计的基础,随后由Engen做了改进,之后由很多国家的标准实验室作了进一步的改进。最初的微量热计依然采用双负载结构,也有些国家研制了单负载微量热计标准,其中采用了自动反馈技术和精密恒温技术,可以大大缩短时间常数和降低对环境温度的要求。
图2-5给出了这种微量热计的一般结构。负载是一个测辐射热器座,测量的目的是确定座的有效效率。在测量结束后,测辐射热器座被移出量热计,用它作为工作标准可以进行功率测量和功率量值的传递。使用微量热计测量波导测辐射热器座有效效率的不确定度,在40GHz内,能够做到小于0.5%,直到100GHz时,仍小于1%.微量热计技术也用来校准同轴座,由于同轴座的结构复杂,测量不确定度略有增加。

微量热计区别于量热计的主要部分就是测辐射热器座。座内的测辐射热器元件吸收功率导致的温升引起测辐射热元件电阻的变化,这一变化可以被电桥检测到。
测辐射热元件主要有三种类型:镇流电阻、热敏电阻和薄膜热变电阻。
镇流电阻由一根细金属导线和一个具有正温度系数的电阻所组成,虽然灵敏度很高,但频率特性差,而且能够承受的功率很小,易烧毁;薄膜热变电阻使用薄金属片作为温度敏感电阻器,能够承受的功率较大,但灵敏度较低,在一些标准实验室中用于高频电压标准;用于测辐射热器座的热敏电阻由半导体材料的小珠组成,它能承受一定的功率,而且其阻抗特性具有较大的负温度系数,所以目前用于微量热计的测辐射热器座均是热敏电阻座。
由于热敏电阻座结构的原因,热敏电阻吸收的高频和微波功率不是损耗在热敏电阻座中高频和微波功率的全部,吸收的比率可以用热敏电阻座效率来描述。

图2-5中自平衡电桥的作用是提供一个自动控制的直流功率P DC给热敏电阻元件以保持它的阻值恒定,从而保证桥的平衡。热敏电阻上的直流功率为

式中V是热敏电阻两端的直流电压,而R是电桥中固定电阻的阻值。
当高频和微波功率加在热敏电阻上时,直流功率会自动减少,减少的直流功率被称为直流替代功率。一般情况下直流替代功率会小于热敏电阻座吸收的高频和微波功率。产生差异的原因之一是一部分高频和微波功率在座上,而不是在热敏电阻上被吸收了。第二个原因是由于高频、微波信号与直流信号在热敏电阻中分布不同导致的。信号分布的不同导致在热敏电阻上的温度分布可能存在差异,使等量的高频、微波与直流功率不能使直流阻抗产生相等的变化,这种差异不全部是热敏电阻自身的特性,部分依赖于座中的场分布,可以用替代效率表示。

一般用热敏电阻座的有效效率表示替代效率和效率的综合效果

有效效率因为代表了替代效率和效率的综合效果,是描述热敏电阻座特性最常用的量。
微量热计的基本原理是以高频和微波功率可以通过量热测量和测辐射热这两种方法进行测量为基础的。高频和微波功率在热敏电阻座中产生的热量分为两部分,一部分在热敏电阻中,另一部分在热敏电阻座的壁中,测辐射热的方法只测量在热敏电阻元件上吸收的高频和微波功率,而量热测量包括热敏电阻座内全部功率。这两个功率的比率就是被测热敏电阻座的有效效率。和量热计的测量方式一样,微量热计也可分为升温方式和等温方式。
射频工程师养成培训教程套装,助您快速成为一名优秀射频工程师...
天线设计工程师培训课程套装,资深专家授课,让天线设计不再难...
上一篇:高频和微波功率基准及其应用研究----微量热计基本理论研究(二)
下一篇:基于Maxim高精度电压基准MAX6175的6位半数字表头设计方案

