- 易迪拓培训,专注于微波、射频、天线设计工程师的培养
三相电压型PWM整流器直接功率控制方法综述
1 概述
三相电压型PWM整流器具有能量双向流动、网侧电流正弦化、低谐波输入电流、恒定直流电压控制、较小容量滤波器及高功率因数(近似为单位功率因数)等特征,有效地消除了传统整流器输入电流谐波含量大、功率因数低等问题,被广泛应用于四象限交流传动、有源电力滤波、超导储能、新能源发电等工业领域。
PWM 整流器控制策略有多种,现行控制策略中以直接电流、间接电流控制为主,这两种闭环控制策略需要复杂的算法和调制模块。而三相电压型PWM 整流器直接功率控制(DPC)因具有控制方法简单、抗干扰能力强、良好的动态性能、可以实现有功无功的解耦控制等诸多优点而被近年来广泛研究,控制方法也层出不穷[1-2]。
本文将介绍三相电压型PWM 整流器主电路的拓扑结构和基于DPC 的控制策略,并进行对比分析,在此基础上对PWM 整流器的控制策略进行展望。
2 电路拓扑
近年来对于三相电压型PWM 整流器拓扑结构的研究在小功率场合主要集中在减少功率开关[3]和改进直流输出性能上;对于大功率场合主要集中在多电平[4]、变流器组合以及软开关技术上[5]。目前较成熟的拓扑有两电平和三电平PWM 整流器结构。

三相电压型两电平PWM 整流器是最基本的PWM 整流电路,因为结构简单、控制算法相对成熟,得到了广泛应用。与其相比三电平PWM 整流器每个桥臂多了两个开关管和两个箝位二极管,电路结构复杂、存在中点电位平衡问题、控制算法繁琐,但因此种电路具有更大的变换功率、更低的输入电流畸变率等优点,也被广泛研究应用。
3 直接功率控制方法
直接功率控制(DPC)系统结构是以直流侧电压为外环、瞬时功率控制为内环的双闭环系统。
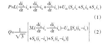
从功率守恒的角度看,直接功率控制PWM整流器是在交流侧电压一定的情况下,通过控制流入整流器瞬时有功功率和无功功率,来达到控制瞬时输入电流的目的,从而获得预设的功率因数和功率流动方向。
3.1 基于电压的直接功率控制(V-DPC)


与此前各种PWM整流器控制策略相较,该控制策略的突出优点在于:
(1)不需要PWM 调制模块、不需要电流闭环调节、借助于开关矢量表直接对有功功率与无功功率进行控制,控制算法简单;
(2)系统具有更快的动态响应速度;
(3)输入电流具有更低的畸变率;
(4)瞬时功率的获取采用无电压传感器的预测模型,在一定程度上节约硬件成本。
同时它也存在以下几方面不足:
(1)开关频率不固定,为交流侧电感的选取增加了难度;
(2)对传感器转换精度和系统采样频率的依赖程度高。
3.2 基于虚拟磁链的直接功率控制(VF-DPC)


基于虚拟磁链的直接功率控制策略除了具有V-DPC 的诸优点之外,还具有[10]:
(1)较低的采样频率;
(2)在输入三相电网电压不理想的情况下有更低的电流总谐波含量(THD)。
同样VF-DPC 也没有解决开关频率不固定的问题。
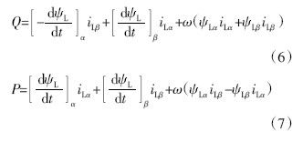
3.3 基于瞬时功率理论的直接功率控制
传统理论中的有功功率、无功功率都是定义在平均值的基础上,只适用于电压、电流为正弦波的情况;而瞬时功率理论的概念是建立在瞬时值的基础上,对正弦、非正弦电压和电流的情况都适用[12]。图5 给出了基于瞬时功率理论的直接功率控制系统框图[13]。控制原理与V-DPC 相似,用计算得到的有功功率P、无功功率Q与功率给定做差,其结果经过功率滞环比较与电压矢量所在扇区兹n一起决定系统的开关状态。
与V-DPC、VF-DPC 相比,系统虽然采用了额外的电压传感器,但瞬时功率的计算不依赖于系统开关状态,使算法大大简化,同时也提供了更准确的有功、无功功率瞬时量。同时该控制策略同样具有动态响应快、输入侧电流畸变率低等优点。缺点是:
(1)开关频率不固定;
(2)要求较高的采样频率。
3.4 基于空间矢量的直接功率控制(SVM-DPC)
基于空间矢量的直接功率控制(SVM-DPC)用空间矢量PWM调制模块和PI环节取代了传统DPC 系统中的开关矢量表和功率滞环[14-16]。

空间矢量调制直接功率控制策略优点:
(1)不使用非线性控制器;
(2)开关频率是固定的,因此方便了网侧电感参数的选取;
(3)降低了采样频率;
(4)可获得任意方向电压矢量,不存在无功失调区;
(5)具有更低的输入电流畸变率。
缺点:
(1)控制算法复杂化,瞬时功率的估算依赖系统当前开关状态;
(2)多个PI 环节使系统调试复杂度增加。
另外为进一步得到更准确的瞬时功率,有学者提出了在网侧增加电压传感器的控制方案,根据瞬时功率理论计算瞬时有功、无功功率,该方法在三相输入电压不对称等非理想的情况下获得了较好的控制效果。
3.5 基于功率预测的直接功率控制(P-DPC)
基于功率预测的DPC系统[17-19]可以分为定频率和不定频率两种。文献[18]详细介绍了两种PDPC各自的控制算法并做了仿真研究,从两者的仿真结果来看定频控制的效果较优。
图7 给出了基于功率预测的定频直接功率控制系统框图,系统通过功率预测模型得到当前瞬时功率,并结合给定功率选择最佳的电压矢量序列和其对应的作用时间,来控制PWM整流器在恒定开关频率下的运行。功率预测通过公式(15)、公式(16)计算完成。

基于定频功率预测的直接功率控制保持了传统DPC 的优点,如动态响应快等,同时以新颖的方法实现了固定开关频率的目的,使整流器系统参数设计简化。该控制策略的缺点主要体现在功率算法相对较为复杂。
3.6 基于功率解耦的直接功率控制
由于三相电压型PWM 整流器是混合非线性系统,有功功率与无功功率相互耦合,影响了系统的控制性能。功率解耦控制的思路是将有功功率、无功功率从相互耦合的复杂关系式中分离出来,得到独立的表达式,为系统提供更加准确的控制模型[20-22]。
图8 是采用无源性控制实现功率解耦的直接功率控制结构框图[22]。有功功率给定可由公式(17)计算得到,公式(18)、(19)给出了具体的无源功率控制律。将Sd、Sq 代入整流器数学模型[22]得到公式(20)、(21),可以看出P、Q 的表达式中不再含有传统DPC 控制策略功率表达式中的耦合项。
与现行功率控制相比,功率解耦控制使整流器具有如下优点:
(1)更快速的功率和直流电压跟踪能力;
(2)更好的静态性能;
(3)抗负载扰动能力强。
缺点:
(1)算法复杂;
(2)控制效果依赖于估计参数值Ra1、Ra2 的准确性。
3.7 基于双开关表的直接功率控制
传统开关表是建立在对有功功率和无功功率同时作用的基础上的,即同一个电压矢量要同时兼顾有功功率和无功功率的调节,但这种兼顾实际上很难完美实现,更多的情况是所选电压矢量对一方的调节能力强而对另一方的调节能力弱,从而导致系统整体跟踪速度缓慢。
双开关表是针对有功功率与无功功率独立调节控制的开关矢量表[2]。从一定意义上讲双开关表的运用降低了有功功率和无功功率的耦合度。其控制思路是在一个控制周期中,如果要增强对有功的调节能力,就增加有功开关表的作用时间,减小无功开关表的作用时间,反之亦然。图9 为基于双开关表的直接功率控制系统框图。
基于双开关表DPC 控制策略解决了传统DPC 单一逻辑开关表进行功率调节时导致启动暂态过程中直流电压、功率出现较大波动,稳态负载扰动造成较大直流侧电压波动、功率跟踪速度慢等问题,具有更好的动、静态性能。
3.8 基于输出调节子空间的直接功率控制
基于输出调节子空间(ORS)的PWM整流器DPC 策略的控制思路是:取瞬时有功和无功功率为输出量,根据瞬时有功和无功功率导数,及时选择整流器输入电压矢量来控制瞬时有功功率和无功功率的增减,完成功率预控制,以达到系统单位功率因数运行和平衡直流电压的目的[23-24]。与传统DPC 策略相比,其优点是提高了系统的动态性能,并在输入电压不平衡条件下取得良好效果,其代价是算法复杂性大大增加。
3.9 其它改进型直接功率控制策略
文献[25]提出一种基于模糊控制的直接功率控制,主要思想是用模糊控制代替传统DPC 中的PI环节来得到系统有功功率给定。
由于传统DPC 对有功调节能力较弱,文献[26]采用了变无功给定的方式,增加对有功的调节能力,改进了功率响应速度。
文献采用功率内环和电压平方外环的功率控制策略进一步提高了直流电压跟踪、功率跟踪能力。
为减少扇形边界对功率控制及直流电压的影响,文献[28]提出了一种设置扇形边界死区的DPC控制策略。
为了更准确的得到电压矢量的相位角,有学者将锁相环(PLL)引入到了PWM 整流器DPC 控制之中,通过检测交流侧输入电压相位来实现对电压矢量的定位。
4 三相整流器直接功率控制策略的展望
随着电力电子技术和控制理论的发展,三相PWM 整流器的控制策略的研究将不断深入,根据对整流器本身的性能要求,像更小的电流畸变率、减小直流侧纹波系数、进一步提高功率因数等,其相应的控制策略主要向以下几个方面发展[1]。
1)针对具有非线性多变量耦合特性的电压型PWM 整流器模型,常规控制策略及其控制器设计的不足之处在于无法保证控制系统大范围扰动的稳定性。为此,学者们提出了基于稳定性理论的DPC 控制策略,以改变系统的鲁棒性。
2)针对在三相电网不平衡时整流器出现直流侧电压和交流侧电流低次谐波幅值增大,同时产生网侧电流的不平衡,严重时可损坏整流装置。有学者在电网不平衡条件下的整流器DPC 控制策略方面也做了一些工作[29]。
3)由于多电平三相PWM整流器在控制电流谐波、稳定直流电压、更高的转换容量等方面存在着突出的优势,有学者也对多电平的DPC 控制策略做了研究[30]。
4)由于传统整流器控制系统都是在电网平衡、功率开关器件为理想模型基础上给定的,所以系统鲁棒性较差,针对这些问题,有学者尝试将智能控制,如神经网络控制器、模糊逻辑控制器等应用到整流器DPC 控制策略中,来予以解决。
5 结语
本文首先介绍了直接功率控制在三相电压型PWM整流器中的应用优势并说明了其控制思路,重点介绍了三相电压型整流器的两电平、三电平电路拓扑结构,以及当前直接功率控制的主要方法和实现原理,最后对三相PWM整流器的直接功率控制技术的发展方向做了展望。
射频工程师养成培训教程套装,助您快速成为一名优秀射频工程师...
天线设计工程师培训课程套装,资深专家授课,让天线设计不再难...
上一篇:从单节光伏电池收集能量
下一篇:200W开关电源功率级设计方案

