- 易迪拓培训,专注于微波、射频、天线设计工程师的培养
基于积分分离PID控制的交流伺服系统
录入:edatop.com 点击:
1 引言
交流电动机伺服驱动系统由于其结构简单、易于维护的优点逐渐成为现代产业的基础。其中交流伺服系统在机器人与操作机械手的关节驱动以及精密数控机床等方面得到越来越广泛的应用。交流伺服系统由交流电动机组成,交流电动机的数字模型不是简单的线性模型,而具有非线性、时变、耦合等特点,用传统的基于对象模型的控制方法难以进行有效的控制。对于交流伺服系统的性能,一方面要求快速跟踪性能好,即要求系统对输入信号的响应快,跟踪误差小,过渡时间短,且无超调或超调小,振荡次数少。另一方面,要求稳态精度高,即系统稳态误差小,定位精度高。在交流伺服控制中,常规控制方法普遍是以PID控制为基础,然而单纯的PID控制存在超调量大,调节时间长,控制效率低等缺点,而且其参数的选取比较困难。在普通的PID控制中,积分环节的作用是消除静态误差,提高系统的控制精度。如果在误差较大的初始阶段引入积分环节,会造成PID的积分累积,从而引起系统较大的超调。因此,本文针对PID控制的特点,设计了一种积分分离的控制方法,即当系统误差较大时,取消积分环节,避免由于积分累积引起系统较大的超调;当系统误差较小时,引入积分环节,以消除误差,提高控制精度。将这种积分分离PID控制应用于交流伺服系统的位置实时控制,从而使控制过程的静态、动态性能指标较为理想。
2 系统结构设计
积分分离PID控制交流伺服系统结构如图1所示。图中θd为给定角位移,θ为电机转轴的实际角位移,e为θd和θ进行比较而得到的偏差,则有:
图1中,u为PID控制的转速期望值;ωd为期望电机转速;ω为实际电机转速;ωd与ω的偏差经过转速调节器产生期望的电机电磁转矩Td由于内环的不足可由外环控制来弥补,所以转速调节器采用一般的PI调节器即可,而电机的电磁转矩控制则采用直接转矩控制方法。
3 积分分离PID控制器
PID控制是一种技术成熟、应用广泛的控制方法,其结构简单,而且对大多数过程均有较好的控制效果。其离散PID控制规律为:
式中,u(k)为k时刻控制器的输出量;KP,KI,KD分别为比例系数,积分系数和微分系数;e(K)为当前时刻的交流伺服系统的位置与期望值之差;e(k-1)为上次采样时刻的交流伺服系统的位置与期望值之差。
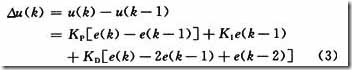
由式(2)可得到控制器输出第k个周期时刻的控制量u(k)和第k-1个周期时刻的控制量u(k-1)之间的增量为:
在PID控制中,积分环节的作用是消除静态误差,提高系统的控制精度。如果在误差较大的初始阶段引入积分环节,会造成:PID的积分累积,从而引起系统较大的超调。因此,本文针对PID控制的特点,设计了一种积分分离的控制方法,积分分离PID控制算法的程序框图如图2所示。
当系统误差较大时,取消积分环节,采用PD控制,避免由于积分累积引起系统较大的超调;当系统误差较小时,引入积分环节,采用PID控制,以消除误差,提高控制精度。即:
式中,ε>0为人为设定的阈值。
积分分离控制算法可表示为:
式中,T为采样时间,a为积分项的开关系数,即:
4 实验研究
用于实验的交流电机参数为Pn=2.2 kW,Un=220 V,In=5 A,nn=1 440 r/min,r1=2.91 Ω,r2=3.04 Ω,Is=0.456 94 H,Ir=0.456 94 H,Im=O.444 27 H,Ten=14 N
通过实验表明,积分分离PID控制充分发挥了PID控制调节精度高的优点,提高了系统的控制精度。
5 结语
本文提出了一种基于积分分离PID控制的交流伺服系统,在系统误差较大时,取消积分环节;当误差较小时,引入积分环节,从而使系统的静态和动态性能指标较为理想。这种控制方法提高了系统的精度。仿真实验结果表明,该控制器具有很好的动静态性能,是一种行之有效的控制器。
发布者:博子
交流电动机伺服驱动系统由于其结构简单、易于维护的优点逐渐成为现代产业的基础。其中交流伺服系统在机器人与操作机械手的关节驱动以及精密数控机床等方面得到越来越广泛的应用。交流伺服系统由交流电动机组成,交流电动机的数字模型不是简单的线性模型,而具有非线性、时变、耦合等特点,用传统的基于对象模型的控制方法难以进行有效的控制。对于交流伺服系统的性能,一方面要求快速跟踪性能好,即要求系统对输入信号的响应快,跟踪误差小,过渡时间短,且无超调或超调小,振荡次数少。另一方面,要求稳态精度高,即系统稳态误差小,定位精度高。在交流伺服控制中,常规控制方法普遍是以PID控制为基础,然而单纯的PID控制存在超调量大,调节时间长,控制效率低等缺点,而且其参数的选取比较困难。在普通的PID控制中,积分环节的作用是消除静态误差,提高系统的控制精度。如果在误差较大的初始阶段引入积分环节,会造成PID的积分累积,从而引起系统较大的超调。因此,本文针对PID控制的特点,设计了一种积分分离的控制方法,即当系统误差较大时,取消积分环节,避免由于积分累积引起系统较大的超调;当系统误差较小时,引入积分环节,以消除误差,提高控制精度。将这种积分分离PID控制应用于交流伺服系统的位置实时控制,从而使控制过程的静态、动态性能指标较为理想。
2 系统结构设计
积分分离PID控制交流伺服系统结构如图1所示。图中θd为给定角位移,θ为电机转轴的实际角位移,e为θd和θ进行比较而得到的偏差,则有:
图1中,u为PID控制的转速期望值;ωd为期望电机转速;ω为实际电机转速;ωd与ω的偏差经过转速调节器产生期望的电机电磁转矩Td由于内环的不足可由外环控制来弥补,所以转速调节器采用一般的PI调节器即可,而电机的电磁转矩控制则采用直接转矩控制方法。
![]() |
PID控制是一种技术成熟、应用广泛的控制方法,其结构简单,而且对大多数过程均有较好的控制效果。其离散PID控制规律为:
式中,u(k)为k时刻控制器的输出量;KP,KI,KD分别为比例系数,积分系数和微分系数;e(K)为当前时刻的交流伺服系统的位置与期望值之差;e(k-1)为上次采样时刻的交流伺服系统的位置与期望值之差。
由式(2)可得到控制器输出第k个周期时刻的控制量u(k)和第k-1个周期时刻的控制量u(k-1)之间的增量为:
![]() |
在PID控制中,积分环节的作用是消除静态误差,提高系统的控制精度。如果在误差较大的初始阶段引入积分环节,会造成:PID的积分累积,从而引起系统较大的超调。因此,本文针对PID控制的特点,设计了一种积分分离的控制方法,积分分离PID控制算法的程序框图如图2所示。
![]() |
当系统误差较大时,取消积分环节,采用PD控制,避免由于积分累积引起系统较大的超调;当系统误差较小时,引入积分环节,采用PID控制,以消除误差,提高控制精度。即:
![]() |
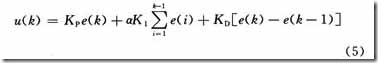
积分分离控制算法可表示为:
![]() |
![]() |
用于实验的交流电机参数为Pn=2.2 kW,Un=220 V,In=5 A,nn=1 440 r/min,r1=2.91 Ω,r2=3.04 Ω,Is=0.456 94 H,Ir=0.456 94 H,Im=O.444 27 H,Ten=14 N
通过实验表明,积分分离PID控制充分发挥了PID控制调节精度高的优点,提高了系统的控制精度。
5 结语
本文提出了一种基于积分分离PID控制的交流伺服系统,在系统误差较大时,取消积分环节;当误差较小时,引入积分环节,从而使系统的静态和动态性能指标较为理想。这种控制方法提高了系统的精度。仿真实验结果表明,该控制器具有很好的动静态性能,是一种行之有效的控制器。
发布者:博子
射频工程师养成培训教程套装,助您快速成为一名优秀射频工程师...
天线设计工程师培训课程套装,资深专家授课,让天线设计不再难...
上一篇:DSP电源管理技术加快设计进度
下一篇:基于单片机的数控直流稳压电源的设计与实现
射频和天线工程师培训课程详情>>







