- 易迪拓培训,专注于微波、射频、天线设计工程师的培养
什么是双积分式ADC(模数转换器)
V-T型间接转换ADC。
2. 电路结构
图11.11.1是这种转换器的原理电路,它由积分器(由集成运放A组成)、过零比较器(C)、时钟脉冲控制门(G)和计数器(FF0~FFn)等几部分组成。
图11.11.1 双积分A/D转换器
(1)积分器
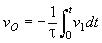
积分器是转换器的核心部分,它的输入端所接开关S1由定时信号Qn控制。当Qn为不同电平时,极性相反的输入电压vI和参考电压 VREF将分别加到积分器的输入端,进行两次方向相反的积分,积分时间常数τ=RC。
(2)过零比较器
过零比较器用来确定积分器的输出电压v0过零的时刻。当v0≥0时,比较器输出vC为低电平;当v0<0时,vC为高电平。比较器的输出信号接至时钟控制门(G)作为关门和开门信号。
(3)计数器和定时器
它由n+1个接成计数器的触发器FF0~FFn-1串联组成。触发器FF0~FFn-1组成n级计数器,对输入时钟脉冲CP计数,以便把与输入电压平均值成正比的时间间隔转变成数字信号输出。当计数到2n个时钟脉冲时,FF0~FFn-1均回到0态,而FFn翻转到1态,Qn=1后开关 S1从位置A转接到B。
(4)时钟脉冲控制门
时钟脉冲源标准周期Tc,作为测量时间间隔的标准时间。当vC=1时,门打开,时钟脉冲通过门加到触发器FF0的输入端。
3.工作原理
双积分ADC的基本原理是对输入模拟电压和参考电压分别进行两次积分,将输入电压平均值变成与之成正比的时间间隔,然后利用时钟脉冲和计数器测出此时间间隔,进而得到相应的数字量输出。由于该转换电路是对输入电压的平均值进行变换,所以它具有很强的抗工频干扰能力,在数字测量中得到广泛应用。
下面以输入正极性的直流电压vI为例,说明电路将模拟电压转换为数字量的基本原理。电路工作过程分为以下几个阶段进行,图中 各处的工作波形如图11.11.2所示。
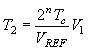
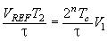
| (1) 准备阶段 由于vO<0,过零比较器输出为高电平,时钟控制门G被打开。于是,计数器在CP作用下从0开始计数。经2n个时钟脉冲后,触发器FF0~FFn-1 都翻转到0态,而Qn=1,开关S1由A点转接到B点,第一次积分结束,第一次积分时间为t=T1=2nTc 令VI为输入电压在T1时间间隔内的平均值, 则由式 图11.11.2双积分A/D转换器各处工作波形 (3) 第二积分阶段 射频工程师养成培训教程套装,助您快速成为一名优秀射频工程师... 天线设计工程师培训课程套装,资深专家授课,让天线设计不再难... 射频和天线工程师培训课程详情>>
|

(其中τ=RC)

