- 易迪拓培训,专注于微波、射频、天线设计工程师的培养
什么是权电流型DAC(数模转换器)
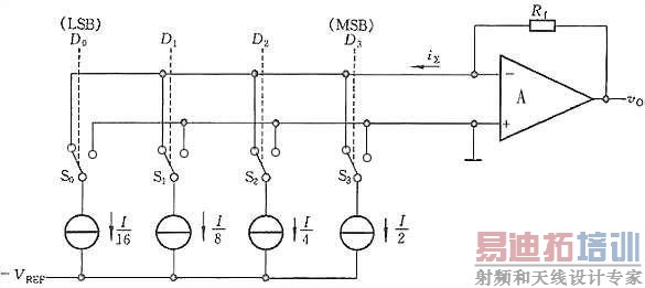
11.3.1 电路结构
4位权电流D/A转换器如图11.3.1所示。电路中,用一组恒流源代替了倒T型电阻网络。这组恒流源从高电位到低位电流的大小依次为I/2、I/4、I/8、I/16。
图11.3.1 权电流D/A转换器的原理电路
11.3.2 工作原理
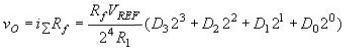
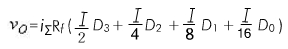
在图11.3.1所示电路中,当输入数字量的某一位数码Di=1时,开关Si接运算放大器的反相端,相应权电流流出求和电路;当Si=0时,开关Si接地。分析该电路,可得出
![]()
![]()

优点
1.速度快。
2.当采用了恒流源电路后,各支路权电流的大小均不受开关导通电阻和压降的影响,降低了对开关电路的要求,提高了转换精度。
电路举例
恒流源采用具有电流负反馈的BJT恒流源电路,即可得如图11.3.2所示的实际的权电流D/A转换器电路。
图11.3.2 实际的权电流D/A转换器电路
为消除因各BJT发射结电压VBE的不一致性对D/A转换精度的影响,图中T3~T1均采用了多发射极晶体管,其发射极个数分别是8、4、2,即T3~T1发射极面积之比为8:4:2。这样,在各BJT电流比值为8:4:2的情况下,T3~T1的发射极电流密度相等,可使各发射节电压VBE相同。由于T3~T1的基极电压相同,所以它们的发射极e3、e2、e1就为等电位点。在计算各支路电流时将它们等效连接后,可看出电路中得到T型电阻网络与图11.2.1中工作状态完全相同,流入每个2R电阻的电流从高位到低位依次减少1/2,各支路中电流分配比值满足8:4:2的要求。 基准电流IREF产生电路由运算放大器A2、R1、Tr、R 和-VEE组成,A2和R1、Tr的cb结组成电压并联负反馈电路,以稳定输出电压,即Tr的基极电压。Tr的be结,电阻R到-VEE为反馈电路负载,由于电路处于深度负反馈,根据虚短的原理,其基准电流为
![]()
由倒T型电阻网络分析可知, IE3=I/2,IE2=I/4,IE1=I/8,IE0=I/16,于是可得输出电压为

可推得n位倒T型权电流D/A转换器的输出电压
上式表明,基准电流仅与基准电压VREF和电阻R1有关,而与BJT、R、2R 电阻无关。这样,电路降低了对BJT参数及R、2R取值的要求,对于集成化十分有利。
常用的单片集成权电流D/A转换器有AD1408、DAC0806、DAC0808等。
射频工程师养成培训教程套装,助您快速成为一名优秀射频工程师...

