- 易迪拓培训,专注于微波、射频、天线设计工程师的培养
探讨智能电网计量及合适的架构
ADI公司
电网是一个由电厂、输电线路和用户构成的网络。将来,人们预期用户的能源消耗将大幅增长。原因在于,市场上外接充电式电动汽车的出现将大幅增加车主的日常能源消耗。
一辆搭载24kWh电池组并且每天都需要充电的汽车可能使一个家庭每月的耗电量增加一倍或两倍。不难想象,为了提供这种能源增量,需要修建更多的电厂,输电线路的升级将变得更加困难。这正是智能电网概念出现的原因:需要对输电线路进行更加智能化的管理,以使能耗的谐波污染降至最低水平,使能源消耗在白天的分布更加均衡,由此跟上能耗增长的步伐。
智能电网的管理意味着对用户层面以及输电线路的实时了解。从工程角度来看,这里涉及到两件事:其一,必须始终测量大量的电量;其二,公用事业公司必须定期与测量这些电量的仪器进行通信。本文将探讨需要监控哪些电量,以及用于测量的各种架构。
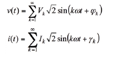
假设有一个交流供电系统,其电压为v(t),消耗电流为i(t):

公式1
其中,Vk, Ik=各个谐波的均方根电压和电流,φk,γk=各个谐波的相位延迟,ω=2πf,基波的角速度。
总有功功率。有功功率为瞬时功率相对于整数线路周期数的均值:

公式2
之所以称为“总”有功功率是因为,其中包含了所有谐波上的有功功率的贡献。这是最后用户向公共事业公司支付的那部分。
基波有功功率。这是基波的有功功率:

公式3
t为应在用户与公共事业公司之间交换的唯一有功功率。该值可能为正,表示用户使用或“消耗”了电量,也可能为负,表示用户往电网中输送了电量。
谐波有功功率。这是一个谐波k的有功功率:

公式4
这类有功功率很重要,因为它会造成污染,不应存在于电网之中。正因如此,过去几年中,将基波有功功率与谐波有功功率分开变得非常重要。谐波有功功率的符号可以显示产生污染者以及消耗者。从智能电网角度来看,发现产生谐波有功功率的罪魁祸首对消除污染源非常重要。
总、基波和谐波无功功率。无功功率是指电压和电流信号之一的所有谐波成分发生90°相移时产生的电压和电流波形:

公式5
这是一种纯粹的振荡功率,均值为0。与有功功率类似,无功功率分为总无功功率、基波无功功率和谐波无功功率三种。总无功功率的问题是其实际意义不大,长期以来都是饱受争议的一个话题。因此,需要测量的一般都是基波无功功率和谐波无功功率。
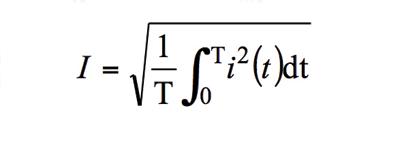
电流和电压均方根表示电流或电压的平方的整数线路周期数的均值:

公式6
如果电压和电流中的基波和谐波组分得以确定,则同时还需要基波和谐波的均方根值。
总、基波和谐波视在功率。
视在功率定义为均方根电流和均方根电压的算术积,根据所用均方根值,结果可能是总视在功率、基波视在功率或谐波视在功率。
这些是需要测量的最重要的量。其他量有:功率系数、谐波失真、三相系统中的正、负和零序列功率。
用于测量这些量的仪器未必具有高端输电线路监控器的性能,多数情况下也不必如此。随着要求的提出,随着每一代新型半导体元件价格的下降,这些量的测量将渗透到整个电网。例如,很难想象有必要在住宅中用电表计算谐波功率。
然而,从智能电网的角度来看,鼓励用户在能耗量最低的夜晚给电动车充电,这是最有意义的。但在变电站层面完全有必要使用监控上述所有量的仪器。
对当地工业用户进行监控,以证实谐波污染保持于最低水平,这是非常有意义的,因为很有可能是某个工序向电网中注入了谐波。从这一点往上进入电网层级体系,类似仪器的作用将变得明晰起来:对所有主要变电站和输电线路进行监控。接下来我们将讨论计算上述各量的各种系统性方法。
[p]
独立的模数转换器、DSP
能给设计工程师带来最大灵活性的方法是采用连接至DSP的模数转换器(见图1)。DSP可以是适用于计算上述量的任何处理装置,因而也可能是一个微控制器(MCU)。正因如此,图1展示了一个集成MCU的DSP。当然,模数转换器的数量与系统中需要测量的电流和电压数成正比。

图1. 独立的模数转换器和DSP/MCU。
三相系统可能需要测量三相电压、三相电流和一个中性电流。单相系统可需要测量一相电压和一相电流。这是最灵活的系统,因为模数转换器和DSP/MCU可以分开选择,以便根据具体应用选择精度合适的模数转换器和特性正确的DSP。不足之处在于,开发人员必须花费大量时间实现计量程序,这并不简单。
嵌入模数转换器的DSP
采用嵌入模数转换器的DSP(见图2)的灵活性较上一种方法要低:并非所有独立的模数转换器也都嵌入了DSP,嵌入模数转换器的DSP的时钟频率是一定的,闪存容量是一定的,通信外设也是一定的。但其成本往往较低。

图2. 嵌入模数转换器的DSP/MCU。
带微控制器的AFE
使用带微控制器的模拟前端(AFE)(见图3)存在于一个专用标准产品(ASSP)中,其中包含正确数量的模数转换器以用于具体的单相或多相计量应用,以及一个计量引擎以用于计算系统通常要求的所有计量量。AFE由外部微控制器进行管理。

图3. 带MCU的能源计量AFE。
这种方法的优势在于:MCU的等级可以低于前面讨论的方法,因为它不需要计算所有计量量:这意味着更低的时钟频率、更低的闪存容量等。
开发人员只需集中精力管理AFE和外部接口,因为所有能源计量量都可以确保按AFE开发人员指定的规范进行计算。由于芯片制造商提供的微控制器系列具有多种时钟频率和闪存容量,因此,电表制造商可以非常有效地调整这种架构。
SoC
使用一个拥有嵌入了微控制器的模拟前端的片上系统(见图4),需要能源计量模拟前端,并嵌入一个MCU。其优势在于,电表只有一个无所不能的芯片。最大的不足在于,开发人员无法针对具体规格选择正确的MCU,因而失去了灵活性。因此,这种架构难以按比例调节。

图4. 能源计量片上系统。
射频工程师养成培训教程套装,助您快速成为一名优秀射频工程师...

